Foram encontradas 40 questões.
- Avaliação EducacionalAvaliação Institucional de Desempenho e de Aprendizagem
- LegislaçãoLei 9.131/1995: Conselho Nacional de Educação
- LegislaçãoLei 9.394/1996: Lei de Diretrizes e Bases da Educação Nacional
- LegislaçãoPCN: Parâmetros Curriculares Nacionais
- Temas Educacionais PedagógicosProcesso de Ensino e AprendizagemGestão da Aprendizagem
Para a operacionalização da avaliação da aprendizagem, a escola deve ter como referência
Provas
Provas
Toda escola precisa ter um projeto político pedagógico (PPP). Esse documento deve explicitar as características que gestores, professores, funcionários, pais e alunos pretendem construir na unidade escolar e qual formação querem para quem ali estuda.
A sua elaboração deve contemplar os seguintes tópicos:
Provas

A fórmula molecular da cafeína é
Provas
A reação química em um bastão de luz ou pulseiras, em geral, envolve várias etapas diferentes. Um bastão de luz comercial é feito de uma solução de peróxido de hidrogênio e de uma solução contendo éster de fenil oxalato e um corante fluorescente. Acompanhe a sequência de acontecimentos quando as duas soluções são combinadas:

Considere as afirmativas abaixo:
I - O peróxido de hidrogênio oxida o éster de fenil oxalato, resultando em uma substância química chamada fenol e um éster de peroxiácido instável.
II - O composto de peróxi-cíclico se decompõe em dióxido de carbono; essa decomposição libera energia para o corante.
III - Os prótons dos átomos do corante migram para um nível mais alto, e depois retornam liberando energia na forma de luz.
ão CORRETOS:
Provas
- Gases
- Química CinéticaRepresentação das Transformações Químicas
- Química CinéticaTransformações Químicas
NaHCO3 + HCl → NaCl + H2O + CO2
Podemos afirmar que o grau de pureza da amostra de bicarbonato de sódio é
Provas
- Química InorgânicaSoluções e Substâncias InorgânicasSubstâncias Inorgânicas: dissociação iônica e ionização, conceitos de ácido-base
Provas
- Química OrgânicaFunções Nitrogenadas: Amina, Amida, Nitrila, Isonitrila e Nitro Composto
- Química OrgânicaFunções Oxigenadas: Álcool, Fenol e Enol
- Química OrgânicaFunções Oxigenadas: Cetona, Aldeído, Éter, Éster, Ácido Carboxílico etc.
A busca por medicamentos anticancerígenos tem aumentado com vistas a se encontrar tratamentos mais efetivos e seletivos, ou que visem à descoberta de novas estratégias que impeçam o avanço da doença. O Taxol® faz parte de um grupo das substâncias mais atrativas e promissoras como anticancerígenas de aplicação clínica, para grande variedade de câncer.


As funções orgânicas presentes no Taxol representadas pelas letras a, b, c e d, são respectivamente:
Provas
- Química OrgânicaCadeias Carbônicas
- Química OrgânicaFunções Oxigenadas: Álcool, Fenol e Enol
- Química OrgânicaFunções Oxigenadas: Cetona, Aldeído, Éter, Éster, Ácido Carboxílico etc.
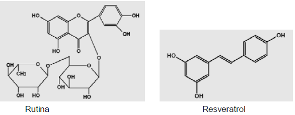
Analise as estruturas dos antioxidantes Rutina e Resveratrol abaixo.

Acerca dessas duas moléculas, é CORRETO afirmar que
Provas
Em condições de equilíbrio a uma determinada temperatura, as pressões parciais de CO(g) e CO2(g) são 1,22 atm e 0,780 atm, respectivamente. Podemos afirmar que o valor da constante de equilíbrio para esta reação é
Provas
Caderno Container