Foram encontradas 1.020 questões.
Em seu livro A arte de resolver problemas, George Polya apresenta um Pequeno dicionário de heurística, que ocupa praticamente 75% das páginas do livro. Um dos “verbetes” de seu dicionário é a Sabedoria dos provérbios,
em que afirma que “há muitos provérbios que caracterizam admiravelmente os procedimentos típicos seguidos
na resolução de problemas, os aspectos de bom senso,
os estratagemas e os erros habituais”.
Para cada uma das quatro fases no trabalho de resolução de um problema, conforme propostas por Polya, alguns provérbios foram citados, sendo que para a fase da Execução do plano um dos provérbios utilizados pelo autor foi
Para cada uma das quatro fases no trabalho de resolução de um problema, conforme propostas por Polya, alguns provérbios foram citados, sendo que para a fase da Execução do plano um dos provérbios utilizados pelo autor foi
Provas
Questão presente nas seguintes provas
No plano, quatro quadrados, cada um com 20 cm2
de
área, foram desenhados de modo a terem vértices em
comum, conforme mostra a figura. O ponto C e os vértices A e B dos quadrados determinam o triângulo retângulo ABC, cuja hipotenusa AC contém 3 vértices dos quadrados (o ponto A e mais dois outros).
A área do triângulo ABC é
A área do triângulo ABC é
Provas
Questão presente nas seguintes provas
- GeometriaGeometria PlanaTriângulos
- GeometriaGeometria PlanaCircunferências e Círculos
- GeometriaGeometria PlanaÁreas e Perímetros
No plano cartesiano, a circunferência de equação
x2
+ y2
– 6x – 8y – 160 = 0 tem centro C e intersecta o
semieixo positivo x no ponto A(16, 0). Sendo B(–8, 12)
um ponto dessa circunferência, a área do triângulo ABC é
Provas
Questão presente nas seguintes provas
Uma turma é formada por 24 alunos, entre eles os irmãos Tales e Teodoro. Esses 24 alunos serão divididos ao acaso em 6 grupos, cada grupo com 4 alunos.
A probabilidade de esses irmãos ficarem no mesmo grupo é
A probabilidade de esses irmãos ficarem no mesmo grupo é
Provas
Questão presente nas seguintes provas
No Livro C.Q.D., Gilberto Garbi apresenta a demonstração de vários teoremas e faz a construção de diversos
elementos geométricos com régua e compasso. Considere a seguinte construção apresentada no capítulo VII,
que parte de uma circunferência de centro O e raio R:
Trace-se um diâmetro qualquer AOB. Por O, trace-se o raio OP perpendicular a AOB. Seja M o ponto médio de OP. Una-se M a B e trace-se a circunferência de centro M e raio OM. Ela [a última circunferência desenhada] cruza MB no ponto N.
Considerando que o raio da circunferência de centro O tenha medida unitária, o segmento NB que se obtém a partir da construção apresentada tem medida igual a
Trace-se um diâmetro qualquer AOB. Por O, trace-se o raio OP perpendicular a AOB. Seja M o ponto médio de OP. Una-se M a B e trace-se a circunferência de centro M e raio OM. Ela [a última circunferência desenhada] cruza MB no ponto N.
Considerando que o raio da circunferência de centro O tenha medida unitária, o segmento NB que se obtém a partir da construção apresentada tem medida igual a
Provas
Questão presente nas seguintes provas
Uma composição foi feita com 21 retângulos, sendo um deles o retângulo R (o retângulo que tem a 10a
maior
área) e outro o quadrado Q (o retângulo de menor área).
O lado menor de cada retângulo tem a mesma medida do
lado do quadrado Q e, considerando as medidas, em cm,
do lado do quadrado Q e dos lados maiores dos demais
retângulos, essas formam uma progressão aritmética.
Sabendo que o lado maior do retângulo de maior área mede 25 cm e que a soma das áreas de todos os 21 retângulos é igual a 2.352 cm2 , o perímetro do retângulo R é
Sabendo que o lado maior do retângulo de maior área mede 25 cm e que a soma das áreas de todos os 21 retângulos é igual a 2.352 cm2 , o perímetro do retângulo R é
Provas
Questão presente nas seguintes provas
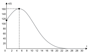
O número de visualizações de certo vídeo foi modelado
pela função exponencial v(t) = C · 2 - (t - 5)2 / d , em que C e d
são constantes reais, sendo v(t) o número de milhares de
visualizações do vídeo t meses após seu lançamento.
No dia do lançamento, o vídeo foi assistido 113.137 vezes, o que foi modelado por v(0) = 80√2 e, t0 meses após seu lançamento, foi assistido 28.284 vezes.
Usando a aproximação √5 = 2,24 e v(t0 ) = 20√2, t0 é, aproximadamente, igual a
No dia do lançamento, o vídeo foi assistido 113.137 vezes, o que foi modelado por v(0) = 80√2 e, t0 meses após seu lançamento, foi assistido 28.284 vezes.
Usando a aproximação √5 = 2,24 e v(t0 ) = 20√2, t0 é, aproximadamente, igual a
Provas
Questão presente nas seguintes provas
Dois carrinhos correm lado a lado sobre uma pista retilínea, de uma extremidade a outra da pista, de
maneira que, ao atingirem uma extremidade, invertem
instantaneamente o sentido e correm para a extremidade oposta. As extremidades da pista são denominadas A e B, e cada carrinho percorre sempre uma
mesma distância a cada segundo. Considere que o
carrinho mais lento foi colocado na extremidade A, o
carrinho mais rápido na extremidade B e que em seguida iniciaram seus movimentos. Quando os carrinhos se
encontraram pela primeira vez, estavam a 20 dm da
extremidade A e continuaram correndo de maneira que
o carrinho mais rápido chegou à extremidade A, inverteu
seu sentido, ultrapassou o carrinho mais lento e, quando chegou à extremidade B, o carrinho mais lento ainda
estava a 14 dm de distância de B.
O comprimento dessa pista, em dm, está compreendido entre
O comprimento dessa pista, em dm, está compreendido entre
Provas
Questão presente nas seguintes provas
Sejam f, g e h funções reais sendo h(x) = x – 2. Definindo m(x) = f(g(h(x))), tal que D(m) = R\{2}, considere o
esboço do gráfico de m dado a seguir.
As funções f e g podem corresponder, respectivamente, às funções
As funções f e g podem corresponder, respectivamente, às funções
Provas
Questão presente nas seguintes provas
Bruno D’Amore, no livro Elementos de Didática da Matemática, explora as ideias propostas por Guy Brousseau
em sua Teoria das Situações Didáticas. Uma dessas
ideias, juntamente com o contrato didático, formam
os componentes de uma situação didática sobre certo
tema relativo ao saber. D’Amore descreve essa ideia
como um modelo teórico, de modo que “se em um
ambiente organizado para a aprendizagem de determinado assunto falta a intenção didática explícita, tem-se
uma situação ”.
Assinale a alternativa que completa corretamente a lacuna.
Assinale a alternativa que completa corretamente a lacuna.
Provas
Questão presente nas seguintes provas
Cadernos
Caderno Container