Foram encontradas 80 questões.
- FundamentosOperações Fundamentais
- FundamentosPotenciação e RadiciaçãoPotenciação
- FundamentosFrações e Números Decimais
- Álgebra
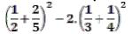
O valor da expressão

é

é
Provas
Questão presente nas seguintes provas
Meter a língua onde não é chamado
Azeite, não é meu parente! Nem todos entendem, mas a língua que se falava antigamente era tranchã, era não?
As palavras pareciam todas usar galocha, e eu me lembro como ficava cabreiro quando aquela teteia da rua, sempre usando tank colegial, se aprochegava com a barra da anágua aparecendo, vendendo farinha, como se dizia. Só porque tinha me trocado pelo desgramado que charlava numa baratinha, ela sapecava expressões do tipo “conheceu, papudo?!", “Ora, vá lamber sabão", eu devolvia de chofre, com toda a agressividade da época, “deixa de trololó, sua sirigaita".
A língua mexe, pra frente e pra trás, e assim como o bacana retornou guaribado para servir de elogio nos tempos modernos, pode ser que breve, na legenda de uma foto da Daniela Cicarelli, os jornais voltem a fazer como diante da Adalgisa Colombo outrora, e digam que ela tem it, que ela é linda, um chuchu. São coisas do arco da velha, vai entender?! Não é só o mistério da ossada da Dana de Teffé que nos une ao passado. Não saberemos nunca, também, quem matou o mequetrefe, a pinimba, o tomar tenência e o neca de pitibiribas, essas delícias vocabulares que enxotadas pelo bom gosto gramatical picaram a mula e foram dormitar, como ursos no inverno, numa página escondida do dicionário.
Outro dia eu disse para as minhas filhas que o telefone estava escangalhado. Morreram de rir com esse maiô Catalina que botei na frase. Nada escangalha mais, no máximo não funciona. Me acharam, sem usar tamanho e tão cansativo polissílabo, um completo mocorongo. Como sempre, estavam certas. Eu tenho visto mulheres de botox, homens que escondem a idade, tenho visto todas as formas de burlar a passagemdo tempo,mas o que sai da boca tem data. Cuidado cinquentões com o ato falho de pedir um ferro de engomar, achar tudo chinfrim, reclamar do galalau que senta na sua frente no cinema e a mania de dizer que a fila do banco está morrinha. Esse papo, por mais que você curta música techno e endívias, denuncia de que década você veio.
[...]
Uma língua bem exercida é metida, jamais galinha morta. É feita de avanços e recuos, e se isso parece reclame de algum programa do canal a cabo Sexy Hot, digamos que, sim, pode ser. Língua, seja qual for, é erótica. Dá prazer brincar com ela. Uma lambida no passado envernizaria novamente palavras que estavam lá, macambúzias e abandonadas, como quizumba, alaúza e jururu, expressões da pá virada como “na maciota", “onde é que nós estamos!" e “ir para a cucuia". Certamente, por mais cara de emplastro Sabiá que tenham, elas dariam na verdade uma viagrada numa língua que tem sido sacudida apenas pelo que é acessado do cibercafé e o demorô dos manos e das minas.
Meter a língua onde não é chamado pode ser divertido. Lembro de Oscarito passando a mão na barriga depois de botar pra dentro uma feijoada completa e dizer, todo preguiçoso e feliz, “tô comuma idiossincrasia!". Estava com o bucho cheio, empanturrado de palavras. Troque essa dieta de alface americana, de palavras transgênicas gordas, compridas e nonsenses como um paio de porco. É o banquete que eu sugiro, que anda na moda mas não vale um caracol. Caia de boca num sarrabulho com assistência na porta, umpifão de tirar uma pestana do caramba, uma car raspana batuta. Essa idiossincrasia vai fazer sentido. Se alguém, depois de receber todas essas palavras de lambuja, repetir a mamãe das antigas e, amuado, gritar “dobre a língua", não se faça de rogado-estique.
SANTOS, Joaquim Ferreira dos.Meter a língua onde não é chamado . Jornal “O Globo", 08/09/2003, 2º Caderno. Disponível emwww.releituras.com.
Sobre o tema abordado no texto, é possível afirmar, corretamente:Azeite, não é meu parente! Nem todos entendem, mas a língua que se falava antigamente era tranchã, era não?
As palavras pareciam todas usar galocha, e eu me lembro como ficava cabreiro quando aquela teteia da rua, sempre usando tank colegial, se aprochegava com a barra da anágua aparecendo, vendendo farinha, como se dizia. Só porque tinha me trocado pelo desgramado que charlava numa baratinha, ela sapecava expressões do tipo “conheceu, papudo?!", “Ora, vá lamber sabão", eu devolvia de chofre, com toda a agressividade da época, “deixa de trololó, sua sirigaita".
A língua mexe, pra frente e pra trás, e assim como o bacana retornou guaribado para servir de elogio nos tempos modernos, pode ser que breve, na legenda de uma foto da Daniela Cicarelli, os jornais voltem a fazer como diante da Adalgisa Colombo outrora, e digam que ela tem it, que ela é linda, um chuchu. São coisas do arco da velha, vai entender?! Não é só o mistério da ossada da Dana de Teffé que nos une ao passado. Não saberemos nunca, também, quem matou o mequetrefe, a pinimba, o tomar tenência e o neca de pitibiribas, essas delícias vocabulares que enxotadas pelo bom gosto gramatical picaram a mula e foram dormitar, como ursos no inverno, numa página escondida do dicionário.
Outro dia eu disse para as minhas filhas que o telefone estava escangalhado. Morreram de rir com esse maiô Catalina que botei na frase. Nada escangalha mais, no máximo não funciona. Me acharam, sem usar tamanho e tão cansativo polissílabo, um completo mocorongo. Como sempre, estavam certas. Eu tenho visto mulheres de botox, homens que escondem a idade, tenho visto todas as formas de burlar a passagemdo tempo,mas o que sai da boca tem data. Cuidado cinquentões com o ato falho de pedir um ferro de engomar, achar tudo chinfrim, reclamar do galalau que senta na sua frente no cinema e a mania de dizer que a fila do banco está morrinha. Esse papo, por mais que você curta música techno e endívias, denuncia de que década você veio.
[...]
Uma língua bem exercida é metida, jamais galinha morta. É feita de avanços e recuos, e se isso parece reclame de algum programa do canal a cabo Sexy Hot, digamos que, sim, pode ser. Língua, seja qual for, é erótica. Dá prazer brincar com ela. Uma lambida no passado envernizaria novamente palavras que estavam lá, macambúzias e abandonadas, como quizumba, alaúza e jururu, expressões da pá virada como “na maciota", “onde é que nós estamos!" e “ir para a cucuia". Certamente, por mais cara de emplastro Sabiá que tenham, elas dariam na verdade uma viagrada numa língua que tem sido sacudida apenas pelo que é acessado do cibercafé e o demorô dos manos e das minas.
Meter a língua onde não é chamado pode ser divertido. Lembro de Oscarito passando a mão na barriga depois de botar pra dentro uma feijoada completa e dizer, todo preguiçoso e feliz, “tô comuma idiossincrasia!". Estava com o bucho cheio, empanturrado de palavras. Troque essa dieta de alface americana, de palavras transgênicas gordas, compridas e nonsenses como um paio de porco. É o banquete que eu sugiro, que anda na moda mas não vale um caracol. Caia de boca num sarrabulho com assistência na porta, umpifão de tirar uma pestana do caramba, uma car raspana batuta. Essa idiossincrasia vai fazer sentido. Se alguém, depois de receber todas essas palavras de lambuja, repetir a mamãe das antigas e, amuado, gritar “dobre a língua", não se faça de rogado-estique.
SANTOS, Joaquim Ferreira dos.Meter a língua onde não é chamado . Jornal “O Globo", 08/09/2003, 2º Caderno. Disponível emwww.releituras.com.
Provas
Questão presente nas seguintes provas
Meter a língua onde não é chamado
Azeite, não é meu parente! Nem todos entendem, mas a língua que se falava antigamente era tranchã, era não?
As palavras pareciam todas usar galocha, e eu me lembro como ficava cabreiro quando aquela teteia da rua, sempre usando tank colegial, se aprochegava com a barra da anágua aparecendo, vendendo farinha, como se dizia. Só porque tinha me trocado pelo desgramado que charlava numa baratinha, ela sapecava expressões do tipo “conheceu, papudo?!", “Ora, vá lamber sabão", eu devolvia de chofre, com toda a agressividade da época, “deixa de trololó, sua sirigaita".
A língua mexe, pra frente e pra trás, e assim como o bacana retornou guaribado para servir de elogio nos tempos modernos, pode ser que breve, na legenda de uma foto da Daniela Cicarelli, os jornais voltem a fazer como diante da Adalgisa Colombo outrora, e digam que ela tem it, que ela é linda, um chuchu. São coisas do arco da velha, vai entender?! Não é só o mistério da ossada da Dana de Teffé que nos une ao passado. Não saberemos nunca, também, quem matou o mequetrefe, a pinimba, o tomar tenência e o neca de pitibiribas, essas delícias vocabulares que enxotadas pelo bom gosto gramatical picaram a mula e foram dormitar, como ursos no inverno, numa página escondida do dicionário.
Outro dia eu disse para as minhas filhas que o telefone estava escangalhado. Morreram de rir com esse maiô Catalina que botei na frase. Nada escangalha mais, no máximo não funciona. Me acharam, sem usar tamanho e tão cansativo polissílabo, um completo mocorongo. Como sempre, estavam certas. Eu tenho visto mulheres de botox, homens que escondem a idade, tenho visto todas as formas de burlar a passagemdo tempo,mas o que sai da boca tem data. Cuidado cinquentões com o ato falho de pedir um ferro de engomar, achar tudo chinfrim, reclamar do galalau que senta na sua frente no cinema e a mania de dizer que a fila do banco está morrinha. Esse papo, por mais que você curta música techno e endívias, denuncia de que década você veio.
[...]
Uma língua bem exercida é metida, jamais galinha morta. É feita de avanços e recuos, e se isso parece reclame de algum programa do canal a cabo Sexy Hot, digamos que, sim, pode ser. Língua, seja qual for, é erótica. Dá prazer brincar com ela. Uma lambida no passado envernizaria novamente palavras que estavam lá, macambúzias e abandonadas, como quizumba, alaúza e jururu, expressões da pá virada como “na maciota", “onde é que nós estamos!" e “ir para a cucuia". Certamente, por mais cara de emplastro Sabiá que tenham, elas dariam na verdade uma viagrada numa língua que tem sido sacudida apenas pelo que é acessado do cibercafé e o demorô dos manos e das minas.
Meter a língua onde não é chamado pode ser divertido. Lembro de Oscarito passando a mão na barriga depois de botar pra dentro uma feijoada completa e dizer, todo preguiçoso e feliz, “tô comuma idiossincrasia!". Estava com o bucho cheio, empanturrado de palavras. Troque essa dieta de alface americana, de palavras transgênicas gordas, compridas e nonsenses como um paio de porco. É o banquete que eu sugiro, que anda na moda mas não vale um caracol. Caia de boca num sarrabulho com assistência na porta, umpifão de tirar uma pestana do caramba, uma car raspana batuta. Essa idiossincrasia vai fazer sentido. Se alguém, depois de receber todas essas palavras de lambuja, repetir a mamãe das antigas e, amuado, gritar “dobre a língua", não se faça de rogado-estique.
SANTOS, Joaquim Ferreira dos.Meter a língua onde não é chamado . Jornal “O Globo", 08/09/2003, 2º Caderno. Disponível emwww.releituras.com.
Alguns textos jornalísticos opinativos apresentam marcas de oralidade para facilitar a comunicação com os leitores. No texto de Joaquim Ferreira dos Santos, esse procedimento pode ser comprovado nas frases a seguir, com EXCEÇÃO de:Azeite, não é meu parente! Nem todos entendem, mas a língua que se falava antigamente era tranchã, era não?
As palavras pareciam todas usar galocha, e eu me lembro como ficava cabreiro quando aquela teteia da rua, sempre usando tank colegial, se aprochegava com a barra da anágua aparecendo, vendendo farinha, como se dizia. Só porque tinha me trocado pelo desgramado que charlava numa baratinha, ela sapecava expressões do tipo “conheceu, papudo?!", “Ora, vá lamber sabão", eu devolvia de chofre, com toda a agressividade da época, “deixa de trololó, sua sirigaita".
A língua mexe, pra frente e pra trás, e assim como o bacana retornou guaribado para servir de elogio nos tempos modernos, pode ser que breve, na legenda de uma foto da Daniela Cicarelli, os jornais voltem a fazer como diante da Adalgisa Colombo outrora, e digam que ela tem it, que ela é linda, um chuchu. São coisas do arco da velha, vai entender?! Não é só o mistério da ossada da Dana de Teffé que nos une ao passado. Não saberemos nunca, também, quem matou o mequetrefe, a pinimba, o tomar tenência e o neca de pitibiribas, essas delícias vocabulares que enxotadas pelo bom gosto gramatical picaram a mula e foram dormitar, como ursos no inverno, numa página escondida do dicionário.
Outro dia eu disse para as minhas filhas que o telefone estava escangalhado. Morreram de rir com esse maiô Catalina que botei na frase. Nada escangalha mais, no máximo não funciona. Me acharam, sem usar tamanho e tão cansativo polissílabo, um completo mocorongo. Como sempre, estavam certas. Eu tenho visto mulheres de botox, homens que escondem a idade, tenho visto todas as formas de burlar a passagemdo tempo,mas o que sai da boca tem data. Cuidado cinquentões com o ato falho de pedir um ferro de engomar, achar tudo chinfrim, reclamar do galalau que senta na sua frente no cinema e a mania de dizer que a fila do banco está morrinha. Esse papo, por mais que você curta música techno e endívias, denuncia de que década você veio.
[...]
Uma língua bem exercida é metida, jamais galinha morta. É feita de avanços e recuos, e se isso parece reclame de algum programa do canal a cabo Sexy Hot, digamos que, sim, pode ser. Língua, seja qual for, é erótica. Dá prazer brincar com ela. Uma lambida no passado envernizaria novamente palavras que estavam lá, macambúzias e abandonadas, como quizumba, alaúza e jururu, expressões da pá virada como “na maciota", “onde é que nós estamos!" e “ir para a cucuia". Certamente, por mais cara de emplastro Sabiá que tenham, elas dariam na verdade uma viagrada numa língua que tem sido sacudida apenas pelo que é acessado do cibercafé e o demorô dos manos e das minas.
Meter a língua onde não é chamado pode ser divertido. Lembro de Oscarito passando a mão na barriga depois de botar pra dentro uma feijoada completa e dizer, todo preguiçoso e feliz, “tô comuma idiossincrasia!". Estava com o bucho cheio, empanturrado de palavras. Troque essa dieta de alface americana, de palavras transgênicas gordas, compridas e nonsenses como um paio de porco. É o banquete que eu sugiro, que anda na moda mas não vale um caracol. Caia de boca num sarrabulho com assistência na porta, umpifão de tirar uma pestana do caramba, uma car raspana batuta. Essa idiossincrasia vai fazer sentido. Se alguém, depois de receber todas essas palavras de lambuja, repetir a mamãe das antigas e, amuado, gritar “dobre a língua", não se faça de rogado-estique.
SANTOS, Joaquim Ferreira dos.Meter a língua onde não é chamado . Jornal “O Globo", 08/09/2003, 2º Caderno. Disponível emwww.releituras.com.
Provas
Questão presente nas seguintes provas
Meter a língua onde não é chamado
Azeite, não é meu parente! Nem todos entendem, mas a língua que se falava antigamente era tranchã, era não?
As palavras pareciam todas usar galocha, e eu me lembro como ficava cabreiro quando aquela teteia da rua, sempre usando tank colegial, se aprochegava com a barra da anágua aparecendo, vendendo farinha, como se dizia. Só porque tinha me trocado pelo desgramado que charlava numa baratinha, ela sapecava expressões do tipo “conheceu, papudo?!", “Ora, vá lamber sabão", eu devolvia de chofre, com toda a agressividade da época, “deixa de trololó, sua sirigaita".
A língua mexe, pra frente e pra trás, e assim como o bacana retornou guaribado para servir de elogio nos tempos modernos, pode ser que breve, na legenda de uma foto da Daniela Cicarelli, os jornais voltem a fazer como diante da Adalgisa Colombo outrora, e digam que ela tem it, que ela é linda, um chuchu. São coisas do arco da velha, vai entender?! Não é só o mistério da ossada da Dana de Teffé que nos une ao passado. Não saberemos nunca, também, quem matou o mequetrefe, a pinimba, o tomar tenência e o neca de pitibiribas, essas delícias vocabulares que enxotadas pelo bom gosto gramatical picaram a mula e foram dormitar, como ursos no inverno, numa página escondida do dicionário.
Outro dia eu disse para as minhas filhas que o telefone estava escangalhado. Morreram de rir com esse maiô Catalina que botei na frase. Nada escangalha mais, no máximo não funciona. Me acharam, sem usar tamanho e tão cansativo polissílabo, um completo mocorongo. Como sempre, estavam certas. Eu tenho visto mulheres de botox, homens que escondem a idade, tenho visto todas as formas de burlar a passagemdo tempo,mas o que sai da boca tem data. Cuidado cinquentões com o ato falho de pedir um ferro de engomar, achar tudo chinfrim, reclamar do galalau que senta na sua frente no cinema e a mania de dizer que a fila do banco está morrinha. Esse papo, por mais que você curta música techno e endívias, denuncia de que década você veio.
[...]
Uma língua bem exercida é metida, jamais galinha morta. É feita de avanços e recuos, e se isso parece reclame de algum programa do canal a cabo Sexy Hot, digamos que, sim, pode ser. Língua, seja qual for, é erótica. Dá prazer brincar com ela. Uma lambida no passado envernizaria novamente palavras que estavam lá, macambúzias e abandonadas, como quizumba, alaúza e jururu, expressões da pá virada como “na maciota", “onde é que nós estamos!" e “ir para a cucuia". Certamente, por mais cara de emplastro Sabiá que tenham, elas dariam na verdade uma viagrada numa língua que tem sido sacudida apenas pelo que é acessado do cibercafé e o demorô dos manos e das minas.
Meter a língua onde não é chamado pode ser divertido. Lembro de Oscarito passando a mão na barriga depois de botar pra dentro uma feijoada completa e dizer, todo preguiçoso e feliz, “tô comuma idiossincrasia!". Estava com o bucho cheio, empanturrado de palavras. Troque essa dieta de alface americana, de palavras transgênicas gordas, compridas e nonsenses como um paio de porco. É o banquete que eu sugiro, que anda na moda mas não vale um caracol. Caia de boca num sarrabulho com assistência na porta, umpifão de tirar uma pestana do caramba, uma car raspana batuta. Essa idiossincrasia vai fazer sentido. Se alguém, depois de receber todas essas palavras de lambuja, repetir a mamãe das antigas e, amuado, gritar “dobre a língua", não se faça de rogado-estique.
SANTOS, Joaquim Ferreira dos.Meter a língua onde não é chamado . Jornal “O Globo", 08/09/2003, 2º Caderno. Disponível emwww.releituras.com.
Assinale a alternativa que apresenta comentário que aproxima a crônica lida da importância de se conhecer os usos da fala em determinadas situações de comunicação oral.Azeite, não é meu parente! Nem todos entendem, mas a língua que se falava antigamente era tranchã, era não?
As palavras pareciam todas usar galocha, e eu me lembro como ficava cabreiro quando aquela teteia da rua, sempre usando tank colegial, se aprochegava com a barra da anágua aparecendo, vendendo farinha, como se dizia. Só porque tinha me trocado pelo desgramado que charlava numa baratinha, ela sapecava expressões do tipo “conheceu, papudo?!", “Ora, vá lamber sabão", eu devolvia de chofre, com toda a agressividade da época, “deixa de trololó, sua sirigaita".
A língua mexe, pra frente e pra trás, e assim como o bacana retornou guaribado para servir de elogio nos tempos modernos, pode ser que breve, na legenda de uma foto da Daniela Cicarelli, os jornais voltem a fazer como diante da Adalgisa Colombo outrora, e digam que ela tem it, que ela é linda, um chuchu. São coisas do arco da velha, vai entender?! Não é só o mistério da ossada da Dana de Teffé que nos une ao passado. Não saberemos nunca, também, quem matou o mequetrefe, a pinimba, o tomar tenência e o neca de pitibiribas, essas delícias vocabulares que enxotadas pelo bom gosto gramatical picaram a mula e foram dormitar, como ursos no inverno, numa página escondida do dicionário.
Outro dia eu disse para as minhas filhas que o telefone estava escangalhado. Morreram de rir com esse maiô Catalina que botei na frase. Nada escangalha mais, no máximo não funciona. Me acharam, sem usar tamanho e tão cansativo polissílabo, um completo mocorongo. Como sempre, estavam certas. Eu tenho visto mulheres de botox, homens que escondem a idade, tenho visto todas as formas de burlar a passagemdo tempo,mas o que sai da boca tem data. Cuidado cinquentões com o ato falho de pedir um ferro de engomar, achar tudo chinfrim, reclamar do galalau que senta na sua frente no cinema e a mania de dizer que a fila do banco está morrinha. Esse papo, por mais que você curta música techno e endívias, denuncia de que década você veio.
[...]
Uma língua bem exercida é metida, jamais galinha morta. É feita de avanços e recuos, e se isso parece reclame de algum programa do canal a cabo Sexy Hot, digamos que, sim, pode ser. Língua, seja qual for, é erótica. Dá prazer brincar com ela. Uma lambida no passado envernizaria novamente palavras que estavam lá, macambúzias e abandonadas, como quizumba, alaúza e jururu, expressões da pá virada como “na maciota", “onde é que nós estamos!" e “ir para a cucuia". Certamente, por mais cara de emplastro Sabiá que tenham, elas dariam na verdade uma viagrada numa língua que tem sido sacudida apenas pelo que é acessado do cibercafé e o demorô dos manos e das minas.
Meter a língua onde não é chamado pode ser divertido. Lembro de Oscarito passando a mão na barriga depois de botar pra dentro uma feijoada completa e dizer, todo preguiçoso e feliz, “tô comuma idiossincrasia!". Estava com o bucho cheio, empanturrado de palavras. Troque essa dieta de alface americana, de palavras transgênicas gordas, compridas e nonsenses como um paio de porco. É o banquete que eu sugiro, que anda na moda mas não vale um caracol. Caia de boca num sarrabulho com assistência na porta, umpifão de tirar uma pestana do caramba, uma car raspana batuta. Essa idiossincrasia vai fazer sentido. Se alguém, depois de receber todas essas palavras de lambuja, repetir a mamãe das antigas e, amuado, gritar “dobre a língua", não se faça de rogado-estique.
SANTOS, Joaquim Ferreira dos.Meter a língua onde não é chamado . Jornal “O Globo", 08/09/2003, 2º Caderno. Disponível emwww.releituras.com.
Provas
Questão presente nas seguintes provas
Meter a língua onde não é chamado
Azeite, não é meu parente! Nem todos entendem, mas a língua que se falava antigamente era tranchã, era não?
As palavras pareciam todas usar galocha, e eu me lembro como ficava cabreiro quando aquela teteia da rua, sempre usando tank colegial, se aprochegava com a barra da anágua aparecendo, vendendo farinha, como se dizia. Só porque tinha me trocado pelo desgramado que charlava numa baratinha, ela sapecava expressões do tipo “conheceu, papudo?!", “Ora, vá lamber sabão", eu devolvia de chofre, com toda a agressividade da época, “deixa de trololó, sua sirigaita".
A língua mexe, pra frente e pra trás, e assim como o bacana retornou guaribado para servir de elogio nos tempos modernos, pode ser que breve, na legenda de uma foto da Daniela Cicarelli, os jornais voltem a fazer como diante da Adalgisa Colombo outrora, e digam que ela tem it, que ela é linda, um chuchu. São coisas do arco da velha, vai entender?! Não é só o mistério da ossada da Dana de Teffé que nos une ao passado. Não saberemos nunca, também, quem matou o mequetrefe, a pinimba, o tomar tenência e o neca de pitibiribas, essas delícias vocabulares que enxotadas pelo bom gosto gramatical picaram a mula e foram dormitar, como ursos no inverno, numa página escondida do dicionário.
Outro dia eu disse para as minhas filhas que o telefone estava escangalhado. Morreram de rir com esse maiô Catalina que botei na frase. Nada escangalha mais, no máximo não funciona. Me acharam, sem usar tamanho e tão cansativo polissílabo, um completo mocorongo. Como sempre, estavam certas. Eu tenho visto mulheres de botox, homens que escondem a idade, tenho visto todas as formas de burlar a passagemdo tempo,mas o que sai da boca tem data. Cuidado cinquentões com o ato falho de pedir um ferro de engomar, achar tudo chinfrim, reclamar do galalau que senta na sua frente no cinema e a mania de dizer que a fila do banco está morrinha. Esse papo, por mais que você curta música techno e endívias, denuncia de que década você veio.
[...]
Uma língua bem exercida é metida, jamais galinha morta. É feita de avanços e recuos, e se isso parece reclame de algum programa do canal a cabo Sexy Hot, digamos que, sim, pode ser. Língua, seja qual for, é erótica. Dá prazer brincar com ela. Uma lambida no passado envernizaria novamente palavras que estavam lá, macambúzias e abandonadas, como quizumba, alaúza e jururu, expressões da pá virada como “na maciota", “onde é que nós estamos!" e “ir para a cucuia". Certamente, por mais cara de emplastro Sabiá que tenham, elas dariam na verdade uma viagrada numa língua que tem sido sacudida apenas pelo que é acessado do cibercafé e o demorô dos manos e das minas.
Meter a língua onde não é chamado pode ser divertido. Lembro de Oscarito passando a mão na barriga depois de botar pra dentro uma feijoada completa e dizer, todo preguiçoso e feliz, “tô comuma idiossincrasia!". Estava com o bucho cheio, empanturrado de palavras. Troque essa dieta de alface americana, de palavras transgênicas gordas, compridas e nonsenses como um paio de porco. É o banquete que eu sugiro, que anda na moda mas não vale um caracol. Caia de boca num sarrabulho com assistência na porta, umpifão de tirar uma pestana do caramba, uma car raspana batuta. Essa idiossincrasia vai fazer sentido. Se alguém, depois de receber todas essas palavras de lambuja, repetir a mamãe das antigas e, amuado, gritar “dobre a língua", não se faça de rogado-estique.
SANTOS, Joaquim Ferreira dos.Meter a língua onde não é chamado . Jornal “O Globo", 08/09/2003, 2º Caderno. Disponível emwww.releituras.com.
Os textos, de modo geral, têm uma intenção comunicativa. Combase nessa afirmação, é possível dizer que a crônica de Joaquim Ferreira dos Santos tempor objetivo:Azeite, não é meu parente! Nem todos entendem, mas a língua que se falava antigamente era tranchã, era não?
As palavras pareciam todas usar galocha, e eu me lembro como ficava cabreiro quando aquela teteia da rua, sempre usando tank colegial, se aprochegava com a barra da anágua aparecendo, vendendo farinha, como se dizia. Só porque tinha me trocado pelo desgramado que charlava numa baratinha, ela sapecava expressões do tipo “conheceu, papudo?!", “Ora, vá lamber sabão", eu devolvia de chofre, com toda a agressividade da época, “deixa de trololó, sua sirigaita".
A língua mexe, pra frente e pra trás, e assim como o bacana retornou guaribado para servir de elogio nos tempos modernos, pode ser que breve, na legenda de uma foto da Daniela Cicarelli, os jornais voltem a fazer como diante da Adalgisa Colombo outrora, e digam que ela tem it, que ela é linda, um chuchu. São coisas do arco da velha, vai entender?! Não é só o mistério da ossada da Dana de Teffé que nos une ao passado. Não saberemos nunca, também, quem matou o mequetrefe, a pinimba, o tomar tenência e o neca de pitibiribas, essas delícias vocabulares que enxotadas pelo bom gosto gramatical picaram a mula e foram dormitar, como ursos no inverno, numa página escondida do dicionário.
Outro dia eu disse para as minhas filhas que o telefone estava escangalhado. Morreram de rir com esse maiô Catalina que botei na frase. Nada escangalha mais, no máximo não funciona. Me acharam, sem usar tamanho e tão cansativo polissílabo, um completo mocorongo. Como sempre, estavam certas. Eu tenho visto mulheres de botox, homens que escondem a idade, tenho visto todas as formas de burlar a passagemdo tempo,mas o que sai da boca tem data. Cuidado cinquentões com o ato falho de pedir um ferro de engomar, achar tudo chinfrim, reclamar do galalau que senta na sua frente no cinema e a mania de dizer que a fila do banco está morrinha. Esse papo, por mais que você curta música techno e endívias, denuncia de que década você veio.
[...]
Uma língua bem exercida é metida, jamais galinha morta. É feita de avanços e recuos, e se isso parece reclame de algum programa do canal a cabo Sexy Hot, digamos que, sim, pode ser. Língua, seja qual for, é erótica. Dá prazer brincar com ela. Uma lambida no passado envernizaria novamente palavras que estavam lá, macambúzias e abandonadas, como quizumba, alaúza e jururu, expressões da pá virada como “na maciota", “onde é que nós estamos!" e “ir para a cucuia". Certamente, por mais cara de emplastro Sabiá que tenham, elas dariam na verdade uma viagrada numa língua que tem sido sacudida apenas pelo que é acessado do cibercafé e o demorô dos manos e das minas.
Meter a língua onde não é chamado pode ser divertido. Lembro de Oscarito passando a mão na barriga depois de botar pra dentro uma feijoada completa e dizer, todo preguiçoso e feliz, “tô comuma idiossincrasia!". Estava com o bucho cheio, empanturrado de palavras. Troque essa dieta de alface americana, de palavras transgênicas gordas, compridas e nonsenses como um paio de porco. É o banquete que eu sugiro, que anda na moda mas não vale um caracol. Caia de boca num sarrabulho com assistência na porta, umpifão de tirar uma pestana do caramba, uma car raspana batuta. Essa idiossincrasia vai fazer sentido. Se alguém, depois de receber todas essas palavras de lambuja, repetir a mamãe das antigas e, amuado, gritar “dobre a língua", não se faça de rogado-estique.
SANTOS, Joaquim Ferreira dos.Meter a língua onde não é chamado . Jornal “O Globo", 08/09/2003, 2º Caderno. Disponível emwww.releituras.com.
Provas
Questão presente nas seguintes provas
Sobre a escrita alfabética é correto afirmar que:
Provas
Questão presente nas seguintes provas
A teoria desenvolvida por Vygotsky é aquela em que, no mínimo, duas pessoas estão envolvidas ativamente, trocando experiência e ideias, gerando novas experiências e conhecimento. Em sua teoria, Vygotsky propõe que o desenvolvimento cognitivo se dá pormeio da interação:
Provas
Questão presente nas seguintes provas
De acordo como § 1º do art. 5º da LDB nº 9.394/1996, o poder público, na esfera de sua competência federativa, deverá:
I. recensear anualmente as cr ianças e adolescentes em idade escolar, bem como os jovens e adultos que não concluíram a Educação Básica.
II. fazer a chamada pública das crianças e adolescentes emidade escolar.
III. oferecer destaque aos alunos assíduos.
IV. zelar, junto aos pais ou responsáveis, pela frequência à escola dos alunosmatriculados.
V. exigir a frequência mínima de 80%para os alunos da Educação Infantil.
Marque a opção que assinala as afirmações corretas.
I. recensear anualmente as cr ianças e adolescentes em idade escolar, bem como os jovens e adultos que não concluíram a Educação Básica.
II. fazer a chamada pública das crianças e adolescentes emidade escolar.
III. oferecer destaque aos alunos assíduos.
IV. zelar, junto aos pais ou responsáveis, pela frequência à escola dos alunosmatriculados.
V. exigir a frequência mínima de 80%para os alunos da Educação Infantil.
Marque a opção que assinala as afirmações corretas.
Provas
Questão presente nas seguintes provas
A teoria de Gardner sobre as Inteligências Múltiplas alterou o cenário educacional mundial na última década. Ele afirma, em sua teoria, que uma criança que aprende a multiplicar números com certa facilidade não é necessariamente mais inteligente do que outra que tenha habilidades mais fortes em outro tipo de inteligência. Quantos tipos de inteligência Gardner identificou emsuas pesquisas?
Provas
Questão presente nas seguintes provas
Segundo o art. 21 da LDB nº 9.394/1996, a educação escolar é composta de:
Provas
Questão presente nas seguintes provas
Cadernos
Caderno Container