Foram encontradas 120 questões.
Julgue o item subsequente, a respeito dos diversos aspectos relacionados à área de pesquisa em ensino de química.
A interdisciplinaridade não deve ser vista apenas como um conceito teórico, mas deve estar presente constantemente na atitude e na postura do professor.
Provas
- FundamentosPropriedades das Substâncias
- Química InorgânicaGeometria Molecular, Polaridade e Forças Intermoleculares
Provas
- FundamentosPropriedades das Substâncias
- Química InorgânicaGeometria Molecular, Polaridade e Forças Intermoleculares
Provas
- Interações com Tecnologia, Sociedade e Meio Ambiente
- Química CinéticaRepresentação das Transformações Químicas
- Química InorgânicaSoluções e Substâncias InorgânicasSoluções: características, tipos de concentração, diluição, mistura, titulação e soluções coloidais
Considere que uma amostra de biometano seja constituída exclusivamente por CH4 e CO2, com concentração de CO2 igual a 1,0% em quantidade de matéria. Nessa amostra, a concentração de CO2, em porcentagem de massa, é superior a 2,0%.
Provas
Provas
- FundamentosPropriedades das Substâncias
- FundamentosSubstâncias, Misturas e Processos de Separação
- Química CinéticaTransformações Químicas
- Química InorgânicaSoluções e Substâncias Inorgânicas
A seguir, estão listados quatro métodos empregados para a separação de misturas de CH4 e CO2.
I Absorção por água pressurizada: baseia-se na maior solubilidade em água do CO2.
II Criogenia: o resfriamento gradual da mistura faz que o componente com maior ponto de ebulição se liquefaça primeiro.
III Separação por membranas: o componente com menor diâmetro crítico apresenta maior capacidade de permeação.
IV Adsorção física seletiva do CO2 por sólidos porosos, como os carbonos ativados: a presença de grupos funcionais básicos na superfície do adsorvente (como, por exemplo, os ilustrados na estrutura abaixo) favorece o processo.

Considerando os métodos apresentados, julgue o item subsequente.
O CO2 é um óxido ácido que, ao se dissolver em água, pode com ela reagir para formar ácido carbônico, de acordo com a equação a seguir.
CO2 + H2O → H2CO3
Provas
- FundamentosPropriedades das Substâncias
- FundamentosSubstâncias, Misturas e Processos de Separação
- Química InorgânicaGeometria Molecular, Polaridade e Forças Intermoleculares
A seguir, estão listados quatro métodos empregados para a separação de misturas de CH4 e CO2.
I Absorção por água pressurizada: baseia-se na maior solubilidade em água do CO2.
II Criogenia: o resfriamento gradual da mistura faz que o componente com maior ponto de ebulição se liquefaça primeiro.
III Separação por membranas: o componente com menor diâmetro crítico apresenta maior capacidade de permeação.
IV Adsorção física seletiva do CO2 por sólidos porosos, como os carbonos ativados: a presença de grupos funcionais básicos na superfície do adsorvente (como, por exemplo, os ilustrados na estrutura abaixo) favorece o processo.

Considerando os métodos apresentados, julgue o item subsequente.
O CO2 apresenta geometria linear, e o CH4 tem geometria tetraédrica. Na separação por membranas, essa diferença favorece a permeação do CO2 através dos canais de membranas semipermeáveis, na comparação com a permeação do CH4.
Provas
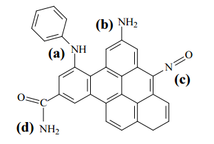
A seguir, estão listados quatro métodos empregados para a separação de misturas de CH4 e CO2.
I Absorção por água pressurizada: baseia-se na maior solubilidade em água do CO2.
II Criogenia: o resfriamento gradual da mistura faz que o componente com maior ponto de ebulição se liquefaça primeiro.
III Separação por membranas: o componente com menor diâmetro crítico apresenta maior capacidade de permeação.
IV Adsorção física seletiva do CO2 por sólidos porosos, como os carbonos ativados: a presença de grupos funcionais básicos na superfície do adsorvente (como, por exemplo, os ilustrados na estrutura abaixo) favorece o processo.

Considerando os métodos apresentados, julgue o item subsequente.
Na estrutura apresentada no texto precedente, os grupos funcionais identificados com as letras (a) e (b) podem ser considerados do tipo amina; os identificados com as letras (c) e (d), não.
Provas
Hidroformilação consiste na reação de alquenos com o denominado gás de síntese (uma mistura de H2 e CO), conforme ilustrado a seguir.

Considerando que, após a reação de hidroformilação do 1-penteno, parte dos aldeídos formados tenham sido reduzidos, in situ, aos álcoois correspondentes, julgue o item que se segue
A uma dada temperatura, a pressão de vapor da mistura obtida, composta pelos aldeídos e álcoois, é superior à do composto inicial, o 1-penteno.
Provas
- Química OrgânicaFunções Oxigenadas: Cetona, Aldeído, Éter, Éster, Ácido Carboxílico etc.
- Química OrgânicaHidrocarbonetos
Hidroformilação consiste na reação de alquenos com o denominado gás de síntese (uma mistura de H2 e CO), conforme ilustrado a seguir.

Considerando que, após a reação de hidroformilação do 1-penteno, parte dos aldeídos formados tenham sido reduzidos, in situ, aos álcoois correspondentes, julgue o item que se segue
Os aldeídos formados a partir da hidroformilação do 1-penteno são o hexanal e o 2-metilpentanal.
Provas
Caderno Container