Foram encontradas 50 questões.
Para a realização de uma aula experimental, um professor
preparou quatros soluções salinas de mesma concentração em
quantidade de matéria por litro. Em seguida, distribuiu cada
solução em um frasco distinto contendo, cada um deles, uma
placa metálica, conforme ilustrado na figura a seguir.

Observe, ainda, a tabela de potenciais padrão de redução (E0).

Durante essa aula experimental os alunos deverão observar evidência de fenômeno químico nos frascos:

Observe, ainda, a tabela de potenciais padrão de redução (E0).

Durante essa aula experimental os alunos deverão observar evidência de fenômeno químico nos frascos:
Provas
Questão presente nas seguintes provas
O policloropreno (estrutura a seguir) é um polímero de larga
utilização, sendo empregado, entre outros, em roupas,
mangueiras, correias e acessórios de automóveis.

O monômero que dá origem ao policloropreno é o

O monômero que dá origem ao policloropreno é o
Provas
Questão presente nas seguintes provas
A pesquisa em Química Marinha busca entender, entre outras
coisas, a interação entre hospedeiros, sua reprodução e a
evolução dessas interações na vida dos oceanos. Pesquisadores
brasileiros identificaram, por exemplo, que algas pardas
(Canistrocarpus cerviconis) se defendem do ataque do ouriço do
mar (Lytechinus variegatus) liberando uma substância cuja
estrutura é apresentada a seguir.

Na substância liberada pelas algas pardas identificam-se as funções orgânicas

Na substância liberada pelas algas pardas identificam-se as funções orgânicas
Provas
Questão presente nas seguintes provas
Os parâmetros termodinâmicos de uma reação química são de
fundamental importância para a compreensão de seu
processamento. A tabela a seguir apresenta os valores de
variação de entalpia (ΔH), variação de entropia (ΔS) e
temperatura para quatro processos distintos (I, II, III e IV)
realizados à pressão e temperatura constantes.

O processo espontâneo é o

O processo espontâneo é o
Provas
Questão presente nas seguintes provas
Observe as informações destacadas no diagrama de fase para o
dióxido de carbono apresentado a seguir, obtidas a partir de
dados experimentais.

(*diagrama não desenhado em escala)
A partir das informações apresentadas avalie se as afirmativas a seguir são verdadeiras (V) ou falsas (F).
( ) Sob a condição de 5,1 atm e –56,40C prevalece o equilíbrio entre as fases sólida e gasosa.
( ) Sob a condição de 1,0 atm e –78,50C ocorre o ponto crítico para dióxido de carbono.
( ) Sob a condição de 73,0 atm e 31,1 atm ocorre o ponto de sublimação do dióxido de carbono.
As afirmativas são, respectivamente,

(*diagrama não desenhado em escala)
A partir das informações apresentadas avalie se as afirmativas a seguir são verdadeiras (V) ou falsas (F).
( ) Sob a condição de 5,1 atm e –56,40C prevalece o equilíbrio entre as fases sólida e gasosa.
( ) Sob a condição de 1,0 atm e –78,50C ocorre o ponto crítico para dióxido de carbono.
( ) Sob a condição de 73,0 atm e 31,1 atm ocorre o ponto de sublimação do dióxido de carbono.
As afirmativas são, respectivamente,
Provas
Questão presente nas seguintes provas
A dissolução de minerais presentes em solos e rochas ou, ainda, o
descarte industrial, promovem o aumento da concentração de
metais alcalinos terrosos na água, tornando-a mais dura.
A classificação de uma amostra de água com relação a sua dureza
resulta da quantidade total de íons cálcio e magnésio presentes
na amostra, podendo ser expressa em função do teor de
carbonato de cálcio medido em partes por milhão (ppm).
Observe a tabela a seguir.

A análise de 120,0g de uma amostra de água de um manancial indicou a presença de 15,0mg de CaCO3. Essa amostra deve classificada como
Observe a tabela a seguir.

A análise de 120,0g de uma amostra de água de um manancial indicou a presença de 15,0mg de CaCO3. Essa amostra deve classificada como
Provas
Questão presente nas seguintes provas
O limoneno é uma substância natural muito encontrada em
frutas cítricas como limão, lima e laranja. A biossíntese desse
composto é iniciada por meio de uma molécula de pirofosfato de
isopentenila (IPP) que é isomerizada por ação enzimática,
formando pirofosfato de dimetilalila (DMAP). Esse processo
estabelece um equilíbrio (etapa 1) no qual ambos os isômeros
estão presentes. Sob a ação de uma outra enzima, esses dois
isômeros se condensam, formando o pirofosfato de geranila
(etapa 2). Em seguida esse composto é ciclizado, dando origem
aos dois enantiômeros do limoneno (etapa 3).
A figura a seguir ilustra, de forma resumida, o processo.

Acerca do exposto, analise as afirmações a seguir:
I. Os compostos IPP e DMAP, em equilíbrio na etapa 1, são isômeros de posição.
II. O produto produzido na etapa 2 apresenta duas insaturações entre carbonos escritas na configuração E.
III. Na etapa 3 os enantiôneros 1 e 2 do limoneno possuem, respectivamente, configurações R e S.
Está correto o que se afirma em
A figura a seguir ilustra, de forma resumida, o processo.

Acerca do exposto, analise as afirmações a seguir:
I. Os compostos IPP e DMAP, em equilíbrio na etapa 1, são isômeros de posição.
II. O produto produzido na etapa 2 apresenta duas insaturações entre carbonos escritas na configuração E.
III. Na etapa 3 os enantiôneros 1 e 2 do limoneno possuem, respectivamente, configurações R e S.
Está correto o que se afirma em
Provas
Questão presente nas seguintes provas
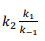
Muitas reações químicas ocorrem por mecanismos que envolvem
mais de uma etapa na qual cada uma delas possui sua própria
constante de velocidade e energia de ativação. Para a reação em
fase gasosa entre óxido nítrico (NO) e bromo (Br2) foi proposto o
mecanismo em duas etapas a seguir, em que k1, k-1 e k2,
representam as constantes de velocidade envolvidas em cada
etapa:
Etapa 1: 2 NO(g)
N2O2(g) (rápida, equilíbrio)
Etapa 2: N2O2(g) + Br2(g)
2NOBr (lenta)
A constante de velocidade para a reação entre óxido nítrico e bromo pode ser expresso em função das constantes k1, k-1 e k2 por meio da expressão:
Etapa 1: 2 NO(g)
Etapa 2: N2O2(g) + Br2(g)
A constante de velocidade para a reação entre óxido nítrico e bromo pode ser expresso em função das constantes k1, k-1 e k2 por meio da expressão:
Provas
Questão presente nas seguintes provas
A técnica do radiocarbono é largamente utilizada na arqueologia
e na antropologia como forma de estimar a idade de
determinados artefatos. Esse radioisótopo possui tempo de meia
vida de 5600 anos e decai a uma taxa de 14,0dpm.g-1
(desintegrações por minuto por grama).
Considerando que a análise de um artefato encontrado por arqueólogos tenha apresentado atividade de carbono-14 equivalente a 10,7dpm.g-1 é possível estimar que a idade do artefato (em anos) é, aproximadamente, igual a
(Dados: use log 1,3 = 0,11 e log 2 = 0,3)
Considerando que a análise de um artefato encontrado por arqueólogos tenha apresentado atividade de carbono-14 equivalente a 10,7dpm.g-1 é possível estimar que a idade do artefato (em anos) é, aproximadamente, igual a
(Dados: use log 1,3 = 0,11 e log 2 = 0,3)
Provas
Questão presente nas seguintes provas
Um determinado material é confeccionado a partir da mistura de
massas iguais de duas substâncias hipotéticas X e Y cujas
densidades valem, respectivamente, dx e dy.
Admitindo que não há reação química entre as substâncias, e que na mistura ocorra a aditividade das massas e dos volumes, a densidade do material confeccionado pode ser expressa como:
Admitindo que não há reação química entre as substâncias, e que na mistura ocorra a aditividade das massas e dos volumes, a densidade do material confeccionado pode ser expressa como:
Provas
Questão presente nas seguintes provas
Cadernos
Caderno Container