Foram encontradas 40 questões.
Disciplina: TI - Organização e Arquitetura dos Computadores
Banca: Consulplan
Orgão: SEFAZ-PI
A arquitetura em três camadas tem como objetivo promover a separação das funcionalidades, usando camadas para a separação da lógica de apresentação, lógica de negócio e lógica de acesso a dados. A separação em três camadas torna o sistema mais flexível, permitindo que as camadas sejam desenvolvidas e modificadas independentemente. O diagrama a seguir descreve os três níveis de camadas, analise-o.

Sobre a arquitetura em três camadas, é INCORRETO afirmar que:
Provas
Desde os primórdios, o ser humano e as organizações lidam com situações que implicam tomadas de decisões. Porém, tomar decisões em um ambiente organizacional não é uma tarefa simples e precisa sempre estar embasada em muitos dados e informações para que ela possa ser assertiva para o negócio. Por isso, diferentes ferramentas têm sido desenvolvidas para apoiar esse processo, entre elas a matriz de decisão utilizada para definir quais sistemas atuam em qual nível organizacional (tipo de decisão) versus a natureza da decisão. Observe a imagem a seguir:

É correto afirmar que:
Provas
Disciplina: TI - Desenvolvimento de Sistemas
Banca: Consulplan
Orgão: SEFAZ-PI
- Engenharia de SoftwarePrototipagem e MVP
- Engenharia de SoftwareTestesTipos de TestesTeste de Usabilidade
- UX/UIProjeto de Interface de Usuário
Prototipação é uma representação limitada de um design que permite aos usuários interagir com ele e explorar a sua conveniência, podendo ser considerado um modelo em escala menor ou parte de um sistema em desenvolvimento. Pode utilizar diferentes técnicas e ferramentas. São consideradas somente técnicas de prototipação de interface:
Provas
Disciplina: TI - Gestão e Governança de TI
Banca: Consulplan
Orgão: SEFAZ-PI
No processo de desenvolvimento de software, qualidade, prazos, escopo e custos são questões que devem ser constantemente avaliadas e, por isso, demandam gerenciamento para evitar que um projeto ultrapasse o orçamento, perca os prazos e deixe de atender os requisitos especificados. Manter a qualidade de um processo e de seu produto deixou de ser um diferencial com a globalização e ambientes extremamente competitivos, se tornando uma obrigação das empresas para garantir a sua sobrevivência no mercado ao longo dos anos. Sobre o modelo MPS.BR, avalie as afirmativas a seguir e a relação proposta entre elas.
I. “MPS.BR fornece diretrizes para melhorias dos processos e competências organizacionais, incluindo produtos, serviços, gestão de pessoas e avaliação. O MR-MPS.SW, que são as diretrizes de qualidade específicas para software, abrange os níveis G até A, sendo G o menor nível de maturidade e A o nível mais elevado.”
PORQUE
II. “As empresas brasileiras e as estrangeiras estão aderindo ao programa de fomento para melhoria de qualidade de software por meio do MPS.BR, que é mais direcionado para grandes instituições, apesar de ser um modelo também empregado em pequenas e médias empresas, sejam elas públicas ou privadas.”
Assinale a alternativa correta.
Provas
Disciplina: TI - Desenvolvimento de Sistemas
Banca: Consulplan
Orgão: SEFAZ-PI
Sobre metodologias ágeis, analise as afirmativas a seguir.
I. Scrum é um framework para suportar o desenvolvimento e a manutenção de projetos/produtos complexos. Fornece uma estrutura para entrega e mostra como fazer práticas específicas, apoiando a equipe de desenvolvimento.
II. Lean é uma metodologia ágil que se baseia em uma política de melhoria contínua, cujo fundamento se concentra na capacidade de eliminar desperdícios de forma contínua e sistemática.
III. Crystal é uma família de metodologias desenvolvidas em meados da década de 1990, destinadas para projetos que vão desde aqueles executados por pequenas equipes de desenvolvimento com baixa criticidade e prove abordagens até grandes equipes que implementam sistemas de alta criticidade.
Está correto o que se afirma apenas em
Provas
Disciplina: TI - Desenvolvimento de Sistemas
Banca: Consulplan
Orgão: SEFAZ-PI
- Paradigmas de ProgramaçãoOrientação a ObjetosOrientação a Objetos: Abstração
- Paradigmas de ProgramaçãoOrientação a ObjetosOrientação a Objetos: Classes e Objetos
- Paradigmas de ProgramaçãoOrientação a ObjetosOrientação a Objetos: Encapsulamento
Em uma determinada consulta o médico prescreve a seguinte medicação, conforme a receita:
| Receituário • 400 g de ácido acetilsalicílico • 1 mg de maleato de dexclorfeniramina • 10 mg de cloridrato de fenilefrina • 30 mg de cafeína Misturar bem e ingerir com água. Repetir em momentos de crise. |
Sem compreender as instruções, o paciente procurou outro médico e uma nova receita foi prescrita baseada na anterior, como apresentado a seguir:
| Receituário • Tomar 1 comprimido de Refriscol. • Ingerir com água. • Repetir em momentos de crise. |
Com base no caso hipotético, é correto afirmar que o princípio aplicado pelo segundo médico:
Provas
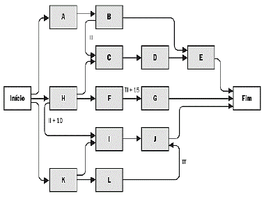
Os projetos existem e operam em ambientes que podem ter influência sobre eles. Essas influências podem ter um impacto favorável ou desfavorável sobre o projeto. Duas importantes categorias de influências são os Fatores Ambientais da Empresa (FAEs) e os Ativos de Processos Organizacionais (APOs). Os FAEs se originam do ambiente externo do projeto e, muitas vezes, externo à empresa. Eles podem ter um impacto de nível de organização, portfólio, programa ou projeto, enquanto os APOs são internos à organização. Podem surgir da organização em si, de um portfólio, programa, outro projeto, ou uma combinação deles. Considere os processos do Guia do Conhecimento em Gerenciamento de Projetos (Guia PMBOK®) e os diagramas apresentados.
I.

II.

III.

IV.

É correto afirmar que:
Provas
Disciplina: TI - Desenvolvimento de Sistemas
Banca: Consulplan
Orgão: SEFAZ-PI
A meta do designer é desenvolver um sistema que permita ao usuário, durante o processo de interação, criar um modelo mental consistente baseado no modelo por ele projetado. Para que o usuário possa criar tal modelo, o designer precisa entender o processo de interação do usuário com a interface do sistema. Para facilitar esse entendimento, um ciclo com etapas e golfos foram criados na engenharia cognitiva como mostra a figura a seguir:

Diante do exposto, é correto afirmar que:
Provas
Disciplina: TI - Desenvolvimento de Sistemas
Banca: Consulplan
Orgão: SEFAZ-PI
A complexidade dos sistemas de software aumentou a um nível sem precedentes. Isso gerou novas oportunidades, mas também desafios crescentes para as organizações que criam e utilizam sistemas. Esses desafios existem ao longo do ciclo de vida de um sistema e em todos os níveis de detalhes arquitetônicos. Para apoiar os desenvolvedores de sistemas e software foi desenvolvido a ISO/IEC/IEEE 12207:2017, que fornece um conjunto definido de processos, a fim de facilitar a comunicação entre adquirentes, fornecedores e demais partes interessadas no ciclo de vida de um sistema de software. Sobre a ISO/IEC/IEEE 12207:2017, marque V para as afirmativas verdadeiras e F para as falsas.
( ) Cada processo do ciclo de vida tem fortes relacionamentos entre seus resultados, atividades e tarefas.
( ) Os processos de acordo são processos organizacionais que se aplicam fora do período de vida de um projeto, bem como para a vida útil de um projeto. Tais acordos permitem a ambos adquirentes e fornecedores obter valor e apoiar estratégias de negócios para suas organizações.
( ) Os processos de gestão técnica se relacionam com o esforço técnico de projetos, em particular para planejamento em termos de custos, prazos, para a verificação de ações para ajudar a garantir o seu cumprimento com planos e critérios de desempenho e para a identificação e seleção de ações corretivas que recuperam deficiências em progresso.
A sequência está correta em
Provas
Disciplina: TI - Gestão e Governança de TI
Banca: Consulplan
Orgão: SEFAZ-PI
O MPS.BR é um programa mobilizador de longo prazo, criado em dezembro de 2003 pela SOFTEX, a fim de aumentar a competitividade das organizações pela melhoria de seus processos e utilização do Modelo de Referência MPS. (MR-MPS). O MR-MPS software define níveis de maturidade que são uma combinação entre processos e suas capacidades, sendo composto por dois conjuntos: (i) Processos de Projetos e (ii) Processos Organizacionais. O processo de Gerência de Projetos é um importante processo de Processo de Projetos, que visa estabelecer e manter atualizados planos que definam atividades, recursos, riscos, prazos e responsabilidades do projeto, assim como prover informações sobre o andamento do projeto. Em relação aos resultados esperados do processo Gerência de Projetos do MR-MPS-SW, analise o modelo de monitoramento do projeto.

Diante do exposto, assinale a afirmativa correta.
Provas
Caderno Container