Foram encontradas 60 questões.
Assinale a alternativa correta e nos termos da Lei Federal n° 11.445/07 (Diretrizes Nacionais para o Saneamento
Básico).
Provas
Questão presente nas seguintes provas
- Código PenalCrimes Contra a Administração PúblicaPraticados por Funcionário PúblicoConcussão e Excesso de Exação
- Código PenalCrimes Contra a Administração PúblicaPraticados por Funcionário PúblicoPeculato
- Código PenalCrimes Contra a Administração PúblicaPraticados por Funcionário PúblicoCorrupção Passiva
- Código PenalCrimes Contra a Administração PúblicaPraticados por Funcionário PúblicoPrevaricação
Nos termos do Código Penal, é correto afirmar que a conduta de “exigir, para si ou para outrem, direta ou indiretamente,
ainda que fora da função ou antes de assumi-la, mas em
razão dela, vantagem indevida”, tipifica o seguinte crime:
Provas
Questão presente nas seguintes provas
Muitos levantamentos cadastrais de imóveis rurais e urbanos georreferenciados utilizam o sistema de projeção
cartográfica UTM, que divide a Terra em X fusos, que se
estendem por Y graus de longitude cada. Os valores de
X e Y são, correta e respectivamente,
Provas
Questão presente nas seguintes provas
Um pilar de madeira com comprimento de 2,0 m está
submetido apenas à compressão simples. Para que seja
dispensada a consideração de eventuais efeitos de flexão, o raio de giração mínimo de sua seção transversal
a ser adotado é
Provas
Questão presente nas seguintes provas
O dimensionamento no estado-limite último da seção
transversal de uma viga de concreto armado, caracterizado pelo domínio 3, corresponde à
Provas
Questão presente nas seguintes provas
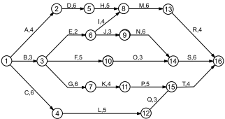
A reforma de uma residência foi planejada conforme o
cronograma PERT-CPM da figura, no qual as atividades
são representadas por letras, seguidas de seu tempo de
execução em dias.
O tempo, em dias, previsto para a conclusão da reforma é
O tempo, em dias, previsto para a conclusão da reforma é
Provas
Questão presente nas seguintes provas
Na gestão do sistema de manutenção de edificações, a
manutenção preventiva é caracterizada por
Provas
Questão presente nas seguintes provas
No que se refere ao aço, material que é utilizado em
estruturas metálicas, ductilidade é a
Provas
Questão presente nas seguintes provas
Quando, no projeto de fundações para pequenas construções, for especificada broca perfurada com trado
manual preenchida com concreto, o seu comprimento
mínimo e sua carga máxima deverão ser, correta e respectivamente,
Provas
Questão presente nas seguintes provas
Na operação de estações de tratamento de esgoto sanitário, a relação entre a massa de sólidos em suspensão
no afluente, introduzida em uma unidade de tratamento,
e a área sobre a qual é aplicada, por unidade de tempo,
é denominada taxa de
Provas
Questão presente nas seguintes provas
Cadernos
Caderno Container