Foram encontradas 120 questões.
Uma empresa de consultoria realizou um levantamento estatístico para obter informações acerca do tempo (T) gasto por empregados de empresas brasileiras na Internet em sítios pessoais durante suas semanas de trabalho. Com base em uma amostra aleatória de 900 empregados de empresas brasileiras com um regime de trabalho de 44 h semanais, essa empresa de consultoria concluiu que cada empregado gasta, em média, 6 h semanais na Internet em sítios pessoais durante uma semana de trabalho; 50% dos empregados gastam 5 h semanais ou mais na Internet em sítios pessoais durante uma semana de trabalho; e o desvio padrão do tempo gasto na Internet em sítios pessoais durante o regime de trabalho é igual a 4 h semanais por empregado.
Com base nas informações da situação hipotética acima descrita, julgue os itens a seguir.
A mediana da distribuição dos tempos gastos na Internet é superior a 5,5 h/semana.
Provas
Uma empresa de consultoria realizou um levantamento estatístico para obter informações acerca do tempo (T) gasto por empregados de empresas brasileiras na Internet em sítios pessoais durante suas semanas de trabalho. Com base em uma amostra aleatória de 900 empregados de empresas brasileiras com um regime de trabalho de 44 h semanais, essa empresa de consultoria concluiu que cada empregado gasta, em média, 6 h semanais na Internet em sítios pessoais durante uma semana de trabalho; 50% dos empregados gastam 5 h semanais ou mais na Internet em sítios pessoais durante uma semana de trabalho; e o desvio padrão do tempo gasto na Internet em sítios pessoais durante o regime de trabalho é igual a 4 h semanais por empregado.
Com base nas informações da situação hipotética acima descrita, julgue os itens a seguir.
Os tempos gastos na Internet em sítios pessoais durante o regime de trabalho pelos empregados observados no levantamento foram superiores a 2 h e inferiores a 10 h semanais.
Provas
Uma empresa de consultoria realizou um levantamento estatístico para obter informações acerca do tempo (T) gasto por empregados de empresas brasileiras na Internet em sítios pessoais durante suas semanas de trabalho. Com base em uma amostra aleatória de 900 empregados de empresas brasileiras com um regime de trabalho de 44 h semanais, essa empresa de consultoria concluiu que cada empregado gasta, em média, 6 h semanais na Internet em sítios pessoais durante uma semana de trabalho; 50% dos empregados gastam 5 h semanais ou mais na Internet em sítios pessoais durante uma semana de trabalho; e o desvio padrão do tempo gasto na Internet em sítios pessoais durante o regime de trabalho é igual a 4 h semanais por empregado.
Com base nas informações da situação hipotética acima descrita, julgue os itens a seguir.
Os empregados observados no levantamento gastaram, em média, mais de 12% do regime de trabalho semanal na Internet em sítios pessoais.
Provas
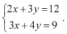
Dois software, S1 e S2, são utilizados diariamente por participantes de diferentes grupos de trabalho em certa empresa. Um desses grupos de trabalho está interessado na fabricação de dois produtos, P1 e P2; a fabricação de cada unidade de P1 requer 2 horas de utilização de S1 e 3 horas de utilização de S2, enquanto a fabricação de cada unidade de P2 requer 3 horas de utilização de S1 e 4 horas de utilização de S2. Foi decidido que, por motivos estratégicos, o software S1 estará disponível a esse grupo de trabalho por 12 horas por dia, enquanto o software S2 estará disponível por 9 horas diárias a esse grupo de trabalho. Os pesquisadores desse grupo desejam saber quantas unidades de P1 e quantas unidades de P2 conseguem produzir nessas condições diariamente e observaram que uma maneira de saber isso seria resolver o sistema de equações lineares
.
Com base nas informações acima, julgue os itens a seguir.
Nas condições apresentadas, não é possível produzir mais que três unidades diárias do produto P1.
Provas
Dois software, S1 e S2, são utilizados diariamente por participantes de diferentes grupos de trabalho em certa empresa. Um desses grupos de trabalho está interessado na fabricação de dois produtos, P1 e P2; a fabricação de cada unidade de P1 requer 2 horas de utilização de S1 e 3 horas de utilização de S2, enquanto a fabricação de cada unidade de P2 requer 3 horas de utilização de S1 e 4 horas de utilização de S2. Foi decidido que, por motivos estratégicos, o software S1 estará disponível a esse grupo de trabalho por 12 horas por dia, enquanto o software S2 estará disponível por 9 horas diárias a esse grupo de trabalho. Os pesquisadores desse grupo desejam saber quantas unidades de P1 e quantas unidades de P2 conseguem produzir nessas condições diariamente e observaram que uma maneira de saber isso seria resolver o sistema de equações lineares
.
Com base nas informações acima, julgue os itens a seguir.
fato, uma possível quantidade a ser produzida de P1 e P2.Provas
Uma proposição é uma sentença que pode ser julgada verdadeira (V) ou falsa (F). As proposições são normalmente representadas pelas letras maiúsculas A, B, C etc. A partir de proposições dadas, podem-se construir novas proposições compostas, mediante o emprego de símbolos lógicos chamados conectivos: "e", indicado pelo símbolo lógico ∧, e "ou", indicado pelo símbolo lógico ∨. Usa-se o modificador "não", representado pelo símbolo lógico ¬, para produzir a negação de uma proposição; podese, também, construir novas proposições mediante o uso do condicional "se A então B", representado por A → B.
O julgamento de uma proposição lógica composta depende do julgamento que se faz de suas proposições componentes. Considerando os possíveis julgamentos V ou F das proposições A e B, tem-se a seguinte tabela-verdade para algumas proposições compostas.

Considerando-se a proposição A, formada a partir das proposições B, C etc. mediante o emprego de conectivos (∧ ou ∨), ou de modificador (¬) ou de condicional (→), diz-se que A é uma tautologia quando A tem valor lógico V, independentemente dos valores lógicos de B, C etc. e diz-se que A é uma contradição quando A tem valor lógico F, independentemente dos valores lógicos de B, C etc. Uma proposição A é equivalente a uma proposição B quando A e B têm as tabelas-verdade iguais, isto é, A e B têm sempre o mesmo valor lógico.
Com base nas informações acima, julgue os itens a seguir.
A proposição A → B é equivalente à proposição ¬B → ¬ A.
Provas
Uma proposição é uma sentença que pode ser julgada verdadeira (V) ou falsa (F). As proposições são normalmente representadas pelas letras maiúsculas A, B, C etc. A partir de proposições dadas, podem-se construir novas proposições compostas, mediante o emprego de símbolos lógicos chamados conectivos: "e", indicado pelo símbolo lógico ∧, e "ou", indicado pelo símbolo lógico ∨. Usa-se o modificador "não", representado pelo símbolo lógico ¬, para produzir a negação de uma proposição; podese, também, construir novas proposições mediante o uso do condicional "se A então B", representado por A → B.
O julgamento de uma proposição lógica composta depende do julgamento que se faz de suas proposições componentes. Considerando os possíveis julgamentos V ou F das proposições A e B, tem-se a seguinte tabela-verdade para algumas proposições compostas.

Considerando-se a proposição A, formada a partir das proposições B, C etc. mediante o emprego de conectivos (∧ ou ∨), ou de modificador (¬) ou de condicional (→), diz-se que A é uma tautologia quando A tem valor lógico V, independentemente dos valores lógicos de B, C etc. e diz-se que A é uma contradição quando A tem valor lógico F, independentemente dos valores lógicos de B, C etc. Uma proposição A é equivalente a uma proposição B quando A e B têm as tabelas-verdade iguais, isto é, A e B têm sempre o mesmo valor lógico.
Com base nas informações acima, julgue os itens a seguir.
Em relação às proposições A: √16 = ±4 e B: 9 é par, a proposição composta A → B é uma contradição.
Provas
Uma proposição é uma sentença que pode ser julgada verdadeira (V) ou falsa (F). As proposições são normalmente representadas pelas letras maiúsculas A, B, C etc. A partir de proposições dadas, podem-se construir novas proposições compostas, mediante o emprego de símbolos lógicos chamados conectivos: "e", indicado pelo símbolo lógico ∧, e "ou", indicado pelo símbolo lógico ∨. Usa-se o modificador "não", representado pelo símbolo lógico ¬, para produzir a negação de uma proposição; podese, também, construir novas proposições mediante o uso do condicional "se A então B", representado por A → B.
O julgamento de uma proposição lógica composta depende do julgamento que se faz de suas proposições componentes. Considerando os possíveis julgamentos V ou F das proposições A e B, tem-se a seguinte tabela-verdade para algumas proposições compostas.

Considerando-se a proposição A, formada a partir das proposições B, C etc. mediante o emprego de conectivos (∧ ou ∨), ou de modificador (¬) ou de condicional (→), diz-se que A é uma tautologia quando A tem valor lógico V, independentemente dos valores lógicos de B, C etc. e diz-se que A é uma contradição quando A tem valor lógico F, independentemente dos valores lógicos de B, C etc. Uma proposição A é equivalente a uma proposição B quando A e B têm as tabelas-verdade iguais, isto é, A e B têm sempre o mesmo valor lógico.
Com base nas informações acima, julgue os itens a seguir.
A proposição (A → B) → (¬A ∨ B) é uma tautologia.
Provas
Disciplina: TI - Segurança da Informação
Banca: CESPE / CEBRASPE
Orgão: SERPRO
- AAA: Autenticação, Autorização e AuditoriaAutenticação de Usuários
- AAA: Autenticação, Autorização e AuditoriaFalhas de Autenticação e Gerenciamento de Sessão
Acerca dos protocolos da camada de aplicação e serviços de rede, julgue os itens que se seguem.
O protocolo HTTP tem dois mecanismos de autenticação: basic e digest. No basic, a senha não é criptografada, apenas codificada em base64.
Provas
Disciplina: TI - Redes de Computadores
Banca: CESPE / CEBRASPE
Orgão: SERPRO
- Modelo TCP/IPModelo TCP/IP: Camada de Aplicação
- Protocolos e ServiçosInternet e EmailHTTP: Hyper Text Transfer Protocol
Acerca dos protocolos da camada de aplicação e serviços de rede, julgue os itens que se seguem.
O protocolo HTTP é considerado um protocolo stateless, pois o mesmo não mantém informações sobre conexões.
Provas
Caderno Container