Foram encontradas 3.053 questões.
No início de 2023, uma sociedade empresária tinha folha de
pagamento de R$500.000. Em março deste ano, ela ajustou o
salário de seus funcionários em 20%, de modo que a folha de
pagamento passou a ser de R$600.000, a partir de abril.
Assinale a opção que indica a despesa relacionada ao reconhecimento do 13º salário em abril, sem considerar a incidência de encargos.
Assinale a opção que indica a despesa relacionada ao reconhecimento do 13º salário em abril, sem considerar a incidência de encargos.
Provas
Questão presente nas seguintes provas
Em abril de 2023, uma sociedade empresária contratou uma
clínica de vacinação para imunizar os seus funcionários contra a
gripe por R$90.000. O pagamento foi feito em três parcelas de
R$30.000, nos meses de abril, maio e junho. A campanha de
vacinação foi realizada em maio e os funcionários ficaram
imunizados por doze meses.
Assinale a opção que indica a contabilização da despesa relacionada à vacinação pela sociedade empresária em 2023, de acordo com o regime de competência.
Assinale a opção que indica a contabilização da despesa relacionada à vacinação pela sociedade empresária em 2023, de acordo com o regime de competência.
Provas
Questão presente nas seguintes provas
De acordo com o CPC 00 (R2) – Estrutura Conceitual para
Relatório Financeiro, as demonstrações contábeis fornecem
informações sobre transações e outros eventos observados do
ponto de vista dos(a)
Provas
Questão presente nas seguintes provas
A Estrutura Conceitual para Relatório Financeiro, de acordo com
o CPC 00 (R2) - Estrutura Conceitual para Relatório Financeiro,
estabelece a base para pronunciamentos que contribuem para a
eficiência econômica.
Para os negócios, há redução no custo do capital, por conta
Para os negócios, há redução no custo do capital, por conta
Provas
Questão presente nas seguintes provas
De acordo com a Algebra Booleana é correto o que se apresenta
em
Provas
Questão presente nas seguintes provas
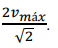
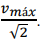
Um retificador de onda completa, em que o sinal a ser retificado é
senoidal e possui um valor de pico máximo igual a Vmáx, apresenta
uma tensão média na carga igual a
Provas
Questão presente nas seguintes provas
Dado um transformador simples com tensão no primário de 200V
e no secundário de 20V. A capacidade máxima de corrente no
secundário é de 2A.
A menor resistência que pode ser ligada à carga e a corrente máxima no primário são iguais a
A menor resistência que pode ser ligada à carga e a corrente máxima no primário são iguais a
Provas
Questão presente nas seguintes provas
Um LED é polarizado por meio de um resistor em série com ele,
alimentados por uma fonte de 20V. A tensão de polarização direta
do LED é igual a 2,0V e sua corrente de operação igual a 15mA.
O resistor a ser escolhido para ser colocado em série com o LED é o de
O resistor a ser escolhido para ser colocado em série com o LED é o de
Provas
Questão presente nas seguintes provas
Para um dado diodo, a cada 1°C de aumento de temperatura, a
tensão direta diminui 2,0mV. Este diodo, para uma dada corrente
e uma temperatura igual a 30°C, apresenta uma tensão direta de
0,7V.
Mantendo-se a corrente constante, a tensão direta desse diodo para uma temperatura de 120°C é de
Mantendo-se a corrente constante, a tensão direta desse diodo para uma temperatura de 120°C é de
Provas
Questão presente nas seguintes provas
Para as afirmativas abaixo a respeito da instalação elétrica
hospitalar, analise as afirmativas a seguir e assinale (V) para a
verdadeira e (F) para a falsa.
( ) Circuitos que alimentam equipamentos que sustentam a vida não podem ter uso do DR. ( ) Locais de Grupo 2 devem possuir piso condutivo. ( ) O quadro do sistema IT-médico deve ficar dentro da sala onde encontram-se os equipamentos alimentados por ele..
As afirmativas são, respectivamente,
( ) Circuitos que alimentam equipamentos que sustentam a vida não podem ter uso do DR. ( ) Locais de Grupo 2 devem possuir piso condutivo. ( ) O quadro do sistema IT-médico deve ficar dentro da sala onde encontram-se os equipamentos alimentados por ele..
As afirmativas são, respectivamente,
Provas
Questão presente nas seguintes provas
Cadernos
Caderno Container