Magna Concursos

Foram encontradas 120 questões.

1851636 Ano: 2008
Disciplina: Matemática
Banca: CESPE / CEBRASPE
Orgão: SGA-AC
Provas:

Considerando que a distância, em quilômetros, entre as cidades A e B é expressa pela fórmula D = 5x - 30, julgue os itens que se seguem.

Suponha que 205 < D < 215 e que x é um número inteiro. Nesse caso, x = 48.

 

Provas

Questão presente nas seguintes provas
1851635 Ano: 2008
Disciplina: Matemática
Banca: CESPE / CEBRASPE
Orgão: SGA-AC
Provas:

Considerando que a distância, em quilômetros, entre as cidades A e B é expressa pela fórmula D = 5x - 30, julgue os itens que se seguem.

Se x = 40, então D é inferior a 150 km.

 

Provas

Questão presente nas seguintes provas
1851634 Ano: 2008
Disciplina: Matemática
Banca: CESPE / CEBRASPE
Orgão: SGA-AC
Provas:
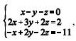
Considerando o sistema linearEnunciado 3376789-1 julgue os itens que se seguem.
Enunciado 3376789-2
 

Provas

Questão presente nas seguintes provas
1851633 Ano: 2008
Disciplina: Matemática
Banca: CESPE / CEBRASPE
Orgão: SGA-AC
Provas:
Considerando o sistema linearEnunciado 3376788-1 julgue os itens que se seguem.

Todas as soluções do sistema são números naturais.

 

Provas

Questão presente nas seguintes provas
1851632 Ano: 2008
Disciplina: Matemática
Banca: CESPE / CEBRASPE
Orgão: SGA-AC
Provas:
Considerando o sistema linearEnunciado 3376787-1 julgue os itens que se seguem.

y > x.

 

Provas

Questão presente nas seguintes provas
1851631 Ano: 2008
Disciplina: Matemática
Banca: CESPE / CEBRASPE
Orgão: SGA-AC
Provas:

Uma lata de açaí custa R$ 3,00, se for de boa qualidade, e R$ 1,80, se for de qualidade inferior. Um agricultor colheu uma quantidade de latas do açaí de boa qualidade que excede em 15 latas à de qualidade inferior. Vendida essa colheita, o agricultor recebeu R$ 165,00. Com base nessas informações, julgue os itens subseqüentes.

A venda do açaí de boa qualidade rendeu ao agricultor menos de R$ 130,00.

 

Provas

Questão presente nas seguintes provas
1851630 Ano: 2008
Disciplina: Matemática
Banca: CESPE / CEBRASPE
Orgão: SGA-AC
Provas:

Uma lata de açaí custa R$ 3,00, se for de boa qualidade, e R$ 1,80, se for de qualidade inferior. Um agricultor colheu uma quantidade de latas do açaí de boa qualidade que excede em 15 latas à de qualidade inferior. Vendida essa colheita, o agricultor recebeu R$ 165,00. Com base nessas informações, julgue os itens subseqüentes.

O agricultor colheu menos de 20 latas do açaí de qualidade inferior.

 

Provas

Questão presente nas seguintes provas
1851629 Ano: 2008
Disciplina: Matemática
Banca: CESPE / CEBRASPE
Orgão: SGA-AC
Provas:

Julgue os itens seguintes, acerca do sistema legal de medidas.

De um terreno que tem 80 m 2 de área retiraram-se as ervas daninhas de uma área igual a 3.500 dm 2 . Então a área do terreno de que ainda não foram retiradas as ervas daninhas é inferior a 20 m 2 .

 

Provas

Questão presente nas seguintes provas
1851628 Ano: 2008
Disciplina: Matemática
Banca: CESPE / CEBRASPE
Orgão: SGA-AC
Provas:

Julgue os itens seguintes, acerca do sistema legal de medidas.

Se um motorista percorrer 150.000 m em um dia e 25.000.000 cm no dia seguinte, então, nos dois dias, a distância percorrida será superior a 500 km.

 

Provas

Questão presente nas seguintes provas
1851627 Ano: 2008
Disciplina: Matemática
Banca: CESPE / CEBRASPE
Orgão: SGA-AC
Provas:

Julgue os itens seguintes, acerca do sistema legal de medidas.

É correto afirmar que 4 dm 3 e mais 500 cm3 de água correspondem a 4,5 L.

 

Provas

Questão presente nas seguintes provas