Foram encontradas 120 questões.
Julgue os itens seguintes, acerca do sistema legal de medidas.
Se a exibição de um filme dura 8.130 s, então é correto afirmar que o tempo correspondente a essa exibição é inferior a 2 h 15 m 20 s.
Provas
Julgue os itens seguintes, relacionados a operações com números reais.
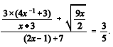
Se x = 2, então
Provas
Julgue os itens seguintes, relacionados a operações com números reais.
![]()
Provas
Julgue os itens seguintes, relacionados a operações com números reais.
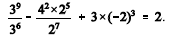
É correto afirmar que
.
Provas
Julgue os itens seguintes, relacionados a operações com números reais.
Da decomposição do número 1.764 em fatores primos é possível inferir que
é número inteiro.
Provas

Julgue os itens seguintes quanto às estruturas lingüísticas do texto.
As formas verbais "passarão" (l.15) e "substituirá" (l.22) estão flexionadas na terceira pessoa e apresentam ações no tempo futuro.
Provas

Julgue os itens seguintes quanto às estruturas lingüísticas do texto.
O sentido do texto seria mantido se a palavra "instaladas" (l.13) fosse substituída por estaladas.
Provas

Julgue os itens seguintes quanto às estruturas lingüísticas do texto.
A correção gramatical do texto seria mantida se a palavra "antenas" (l.12) fosse escrita no singular.
Provas

Julgue os itens seguintes quanto às estruturas lingüísticas do texto.
No trecho "Uma antena de captação de dados dos satélites já existe na África do Sul" (l.10-12), a inserção de uma vírgula logo após "satélites" manteria a correção gramatical do texto.
Provas

Julgue os itens seguintes quanto às estruturas lingüísticas do texto.
O trecho "um centro de monitoramento global de florestas tropicais" (l.2-3) complementa o sentido do verbo "operar" (l.2).
Provas
Caderno Container