Foram encontradas 195 questões.
Segundo Gitmann (2010), os fluxos de caixa da empresa podem ser divididos em
fluxos operacionais, fluxos de investimentos e fluxos de financiamento. Sobre esses fluxos, analise as
assertivas a seguir:
I. Os fluxos operacionais constituem as entradas e saídas de caixa diretamente relacionadas à venda e produção de bens e serviços.
II. Os fluxos de investimento provêm de transações financeiras com capital de terceiros (dívidas) ou capital próprio.
III. Os fluxos de financiamento representam os fluxos de caixa associados à compra e venda de ativo imobilizado e investimentos em participações societárias.
Quais estão corretas?
I. Os fluxos operacionais constituem as entradas e saídas de caixa diretamente relacionadas à venda e produção de bens e serviços.
II. Os fluxos de investimento provêm de transações financeiras com capital de terceiros (dívidas) ou capital próprio.
III. Os fluxos de financiamento representam os fluxos de caixa associados à compra e venda de ativo imobilizado e investimentos em participações societárias.
Quais estão corretas?
Provas
Questão presente nas seguintes provas
Com base em Gitman (2010), analise as seguintes assertivas relacionadas ao Valor
Presente Líquido (VPL):
I. É considerada uma técnica sofisticada de orçamento de capital.
II. O valor presente líquido (VPL) é encontrado subtraindo-se o investimento inicial de um projeto do valor presente de suas entradas de caixa, descontadas à taxa de custo de capital da empresa.
III. A taxa especificada para encontrar o VPL é comumente chamada de taxa de desconto, retorno requerido, custo de capital ou custo de oportunidade.
IV. Quando usamos o VPL, o critério para aceitação do projeto é o VPL ser menor que R$ 0 (zero).
Quais estão corretas?
I. É considerada uma técnica sofisticada de orçamento de capital.
II. O valor presente líquido (VPL) é encontrado subtraindo-se o investimento inicial de um projeto do valor presente de suas entradas de caixa, descontadas à taxa de custo de capital da empresa.
III. A taxa especificada para encontrar o VPL é comumente chamada de taxa de desconto, retorno requerido, custo de capital ou custo de oportunidade.
IV. Quando usamos o VPL, o critério para aceitação do projeto é o VPL ser menor que R$ 0 (zero).
Quais estão corretas?
Provas
Questão presente nas seguintes provas
Segundo Gitman (2010) os períodos de payback são normalmente usados para avaliar
propostas de investimentos de capital. Sendo assim, quanto tempo será necessário para Ricardo
recuperar o investimento inicial de seu empreendimento no valor de R$ 150.000,00, se considerarmos
os valores das receitas e das despesas previstas para os próximos seis anos, conforme demonstrativo
abaixo: 
O tempo de retorno do investimento de Ricardo, com base no método do payback simples, será de quantos anos?

O tempo de retorno do investimento de Ricardo, com base no método do payback simples, será de quantos anos?
Provas
Questão presente nas seguintes provas
Gitman (2010) define que a liquidez diz respeito à solvência da posição financeira
geral da empresa – a facilidade com que pode pagar suas contas em dia. Segundo o autor, o índice
de liquidez corrente, um dos índices financeiros mais comumente citados, mede a capacidade da
empresa de pagar suas obrigações de curto prazo. A empresa Soares e Cia. Ltda. apresentou os
seguintes números do Balanço Patrimonial encerrado em 2022:
• Ativo Total: R$ 1.450.000,00; • Ativo Circulante: R$ 660.000,00; • Passivo e Patrimônio Líquido: R$ 1.450.000,00; • Passivo Circulante: R$ 150.000,00; • Patrimônio Líquido: R$ 1.300.000,00; • Lucro Operacional: R$ 290.000,00;
Sendo assim, calcule o índice de liquidez corrente da empresa Soares e Cia. Ltda. Para fins de cálculos, considere apenas duas casas depois da vírgula (sem arredondamentos). O índice de liquidez corrente da empresa Soares e Cia. Ltda., do ano de 2022, é:
• Ativo Total: R$ 1.450.000,00; • Ativo Circulante: R$ 660.000,00; • Passivo e Patrimônio Líquido: R$ 1.450.000,00; • Passivo Circulante: R$ 150.000,00; • Patrimônio Líquido: R$ 1.300.000,00; • Lucro Operacional: R$ 290.000,00;
Sendo assim, calcule o índice de liquidez corrente da empresa Soares e Cia. Ltda. Para fins de cálculos, considere apenas duas casas depois da vírgula (sem arredondamentos). O índice de liquidez corrente da empresa Soares e Cia. Ltda., do ano de 2022, é:
Provas
Questão presente nas seguintes provas
Em Vieira Sobrinho (2023), a taxa que equaliza o valor presente de um ou mais
pagamentos (saídas de caixa) com valor presente de um ou mais recebimentos (entradas de caixa),
se denomina:
Provas
Questão presente nas seguintes provas
Para Vieira Sobrinho (2023), no mercado financeiro o desconto é considerado como
sendo o abatimento que se faz no valor de um título de crédito quando o seu possuidor o negocia ou
resgata antes do seu vencimento. Jorge Luiz está negociando com o banco o resgate de um título, no
valor de R$ 10.000,00 (dez mil reais), cujo vencimento está previsto para 90 dias, à taxa de 2,5% ao
mês. Qual o valor do desconto simples (ou bancário) que será obtido com o resgate antecipado do
título de Jorge Luiz?
Provas
Questão presente nas seguintes provas
Para Vieira Sobrinho (2023), o Sistema de Amortização Constante (SAC) consiste em
um plano de amortização de uma dívida em prestações periódicas, sucessivas e decrescentes em
progressão aritmética, dentro do conceito de termos vencidos, em que o valor de cada prestação é
composto por uma parcela de juros e outra de capital, chamada de amortização. Cláudia contraiu um
empréstimo de R$ 100.000,00 (cem mil reais), à taxa de 3% ao mês a ser liquidado em 10 (dez)
prestações mensais. Sendo assim, complemente o plano de pagamento do empréstimo de Cláudia na
Tabela 2 abaixo, com base no SAC, e calcule o valor da prestação 5.

Com base no cálculo efetuado, o valor da quinta prestação é de:

Com base no cálculo efetuado, o valor da quinta prestação é de:
Provas
Questão presente nas seguintes provas
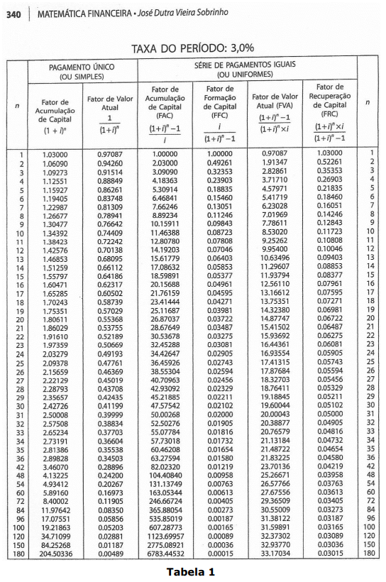
João fez uma aplicação de R$ 10.000,00 (dez mil reais), pelo prazo de seis meses, a
uma taxa de 3% ao mês. Qual o valor montante resultante da aplicação do valor investido por João
ao final dos seis meses, se considerarmos pelo regime de capitalização composta? Para obter o valor
correspondente à função exponencial, consulte a Tabela 1, definida para a taxa de 3%, para o prazo
correspondente. O valor total do montante da aplicação após o prazo de seis meses corresponde a:


Provas
Questão presente nas seguintes provas
Carlos efetuou um empréstimo bancário por um determinado prazo e a uma taxa de
juros. Sendo assim, qual o valor dos juros correspondentes ao empréstimo de R$ 20.000,00
(vinte mil reais) efetuado por Carlos, pelo prazo de 12 meses, pelo regime de capitalização simples,
sabendo-se que a taxa cobrada é de 5% ao mês?
Provas
Questão presente nas seguintes provas
O MCASP de 2019 define que a situação patrimonial líquida é a diferença entre os
ativos e os passivos após a inclusão de outros recursos e a dedução de outras obrigações, reconhecida
no Balanço Patrimonial como patrimônio líquido. Nesse sentido, com base nas definições do referido
Manual, analise as seguintes assertivas, relativas alguns dos integrantes do patrimônio líquido,
assinalando C, se corretas ou I, se incorretas.
( ) Capital social. ( ) Reservas de capital. ( ) Reservas de lucros. ( ) Estoques.
A ordem correta de preenchimento dos parênteses, de cima para baixo, é:
( ) Capital social. ( ) Reservas de capital. ( ) Reservas de lucros. ( ) Estoques.
A ordem correta de preenchimento dos parênteses, de cima para baixo, é:
Provas
Questão presente nas seguintes provas
Cadernos
Caderno Container