Foram encontradas 80 questões.
Em tempos que precediam o relógio, Galileu Galilei utilizou um plano inclinado que contém um conjunto de 5 sinos distantes entre si de tal forma que, quando uma esfera é abandonada do alto do plano, a uma distância de 10 cm do primeiro sino, o som produzido pelo impacto dela com cada um dos sinos consecutivos tem o mesmo intervalo de tempo. Considerando que a altura da base ao ponto de lançamento é de 1,5 m e que o comprimento horizontal do plano vale 2 m, as distâncias consecutivas entre os sinos, em cm, são respectivamente:
(Considere os efeitos de rotação da esfera desprezíveis.)

Provas
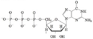
No esquema abaixo, I, II e III são substâncias produzidas pela oxidação da glicose. Os processos Y e Z ocorrem, respectivamente, em leveduras e células animais, nas situações em que há limitação de O2.

Nas vias metabólicas representadas, o processo X ocorre
Provas
O borbulhamento de cloro gasoso em uma solução aquosa de hidróxido de sódio resulta na reação química representada por:
Cl2(g) + 2 NaOH(aq) → NaCl(aq) + NaClO(aq) + H2O(l)
Nessa reação, cujos reagentes são obtidos industrialmente por ________ da salmoura, o número de oxidação do elemento cloro varia de _____ no cloro gasoso para _____ no cloreto de sódio e ____ no hipoclorito de sódio. As lacunas desse enunciado são corretamente preenchidas, na ordem em que aparecem, por:
Provas
O gráfico, a seguir, obtido por meio da Pesquisa Nacional sobre o uso do crack, realizada pela Fiocruz, retrata o perfil étnico do usuário de crack no Brasil.

(Disponível em: https://www.icict.fiocruz.br/sites/www.icict.fiocruz.br/files/Pesquisa%20Nacional%20sobre%20o%20Uso%20de%20Crack.pdf Acesso: 13 maio 2018.)
A população da pesquisa é constituída por pessoas brasileiras de 18 anos ou mais, que usaram crack e/ou similares, pelo menos 25 dias, nos últimos seis meses. O universo da pesquisa categorizou usuários brancos e não brancos. Os dados do gráfico permitem que realizemos a seguinte analogia entre os usuários pesquisados e o contexto sócio-histórico da população brasileira:
Provas
Nos rótulos das bebidas alcoólicas há a indicação de seu teor alcoólico, expresso na forma de porcentagem em volume de etanol, C2H5OH. Sendo assim, considere um vinho cujo teor alcoólico seja de 12 %. Sabendo-se que a densidade do etanol é 0,8 g/mL e que a constante de Avogadro é igual a 6,0 x 1023 mol-1, é correto afirmar que o número de moléculas de etanol que entra no organismo de uma pessoa que ingere 200 mL desse vinho é
(massas molares em g/mol: C=12; O=16; H=1)
Provas
A figura representa um objeto de madeira composto por duas pirâmides retas e congruentes, de base retangular.

A altura total desse objeto é 16 cm, seu volume é 1536 cm3 e uma das dimensões da base das pirâmides que compõem o objeto é metade da outra. Se a maior face lateral desse objeto for utilizada para apoiá-lo em uma superfície plana, essa face ocupará dessa superfície uma área igual a
Provas
O gráfico apresenta informações sobre as idades de um grupo de amigos.

Escolhidas, aleatoriamente, três pessoas desse grupo, uma após a outra e sem reposição, a probabilidade de a terceira pessoa escolhida ter idade menor ou igual a 20 anos, sabendo que a primeira pessoa tem 19 anos e a segunda tem mais de 20 anos, é
Provas
O diabetes melito é um distúrbio hormonal em que as células beta das ilhotas pancreáticas não produzem quantidades normais de insulina. Nessa situação, entre outras alterações, a pessoa apresenta níveis elevados de glicose e de corpos cetônicos no sangue, estes decorrentes de vias metabólicas alternativas para obtenção de energia.
Os corpos cetônicos decorrem da metabolização de lipídios, representados em:
Provas
O Relatório Mundial do Câncer 2014, divulgado pela Organização Mundial da Saúde (OMS), estima que o número de novos casos de câncer aumente de 14 milhões em 2012 para 22 milhões em 2030. Isso significa que as políticas públicas deveriam focar em medidas preventivas, atuando na detecção precoce da doença, ou mesmo interferindo diretamente em fatores ambientais relacionados à ocorrência da doença. O câncer colorretal é um dos mais frequentes na população brasileira. O mapa a seguir contém dados a respeito dessa doença.

(Disponível em: http://www.accamargo.org.br/saude-prevencao/artigos/mapa-do-cancer-de-intestino-no-brasil/152/ Acesso: 13 maio 2018.)
Os dados contidos no mapa, relativos à ocorrência de câncer colorretal na população brasileira e às características culturais regionais, podem ser assim compreendidos:
Provas
A coloração das asas de certa espécie de borboleta decorre de uma herança monogênica. O alelo que condiciona a cor vermelha das asas é completamente dominante em relação ao alelo que condiciona a cor branca. Numa população de 1500 borboletas em equilíbrio de Hardy-Weinberg, 240 têm asas brancas.
A frequência de indivíduos heterozigotos nessa população é
Provas
Caderno Container