Foram encontradas 60 questões.
Analise as equações a seguir.
I) 2x – y = 4
II) 4x + 4y = 0
III) 4ax = 5 – 2b
Sobre a solução das equações acima, assinale a afirmativa correta.
Provas
Quais são as figuras formadas por poligonais abertas? Quantos lados tem cada figura? Quantas diagonais tem cada figura? Quais figuras têm todas as suas diagonais em seu interior? Quais figuras são polígonos convexos? Essa questão envolveu os seguintes conceitos:
Provas
As figuras a seguir representam 2 canteiros que serão cercados e onde serão plantadas mudas de flores.

Dentre as ponderações do dono listadas a seguir, assinale a que afirma motivo correto para a decisão.
Provas
A partir das informações apresentadas, assinale a afirmativa correta.Provas
TABELA DO IMC

A medicina utiliza para o cálculo de dietas baseadas em calorias o chamado Índice de Massa Corporal, o IMC, que é uma medida mais precisa do estado de obesidade do paciente. O IMC é dado pela fórmula I =
em que P é o peso da pessoa, dado em kg, e A é a altura medida em metros.
Suponha que uma pessoa pese 66 kg e tem altura de 162 cm. O indivíduo que pertence a uma faixa, não pertence a outra.
De acordo com a tabela do IMC, ela
Provas
A partir das informações acima, assinale a afirmativa correta.
Provas
Espaço de Frenagem do carro em função da velocidade
Lendo as informações contidas no gráfico, é correto afirmar queProvas
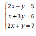
O salário de Paulo é depositado em um banco todo mês. Após juntar o dobro do seu salário e depois de pagar a mensalidade da faculdade ficou com 5 mil reais. Dois meses depois, ele tinha em sua conta o valor do seu salário e mais o valor de 3 mensalidades da faculdade, o que totalizou 6 mil reais. Paulo constatou ainda que se somasse o dobro de seu salário ao valor da mensalidade, resultaria 7 mil reais. Encontre um modelo que represente a situação: nomeie x o valor do salário de Paulo e y o valor da mensalidade da faculdade.
Foram três as soluções encontradas por seus alunos:
A primeira exibia o sistema de equações
como A segunda, exibia o sistema de equações
como modelo para o problema.
A terceira solução encontrada exibia a equação x + 3 (2x – 5) = 6 como modelo para o cálculo do salário. Todos encontraram como solução para o salário 3 mil reais e para a mensalidade da faculdade, mil reais.
Com base no caso apresentado, assinale a afirmativa correta.
Provas
Um sistema com duas equações tem suas soluções representadas pelas retas r e s.

Sobre esse sistema, é correto afirmar que
Provas
Josefina desenhou, em uma folha de papel sulfite, que tem por medidas 29,7 cm por 21 cm, uma margem de 3 cm, como mostra a ilustração a seguir, para depois fazer uma colagem de fotografias.

O cálculo da área a ser usada para a colagem pode ser obtido
Provas
Caderno Container