Foram encontradas 50 questões.
Nos crimes contra a fé pública, é incorreto afirmar que
Provas
Questão presente nas seguintes provas
- Código PenalCrimes Contra a Administração PúblicaPraticados por Funcionário PúblicoConcussão e Excesso de Exação
- Código PenalCrimes Contra a Administração PúblicaPraticados por Funcionário PúblicoPeculato
- Código PenalCrimes Contra a Administração PúblicaPraticados por Funcionário PúblicoCorrupção Passiva
- Código PenalCrimes Contra a Administração PúblicaPraticados por Funcionário PúblicoPrevaricação
- Código PenalCrimes Contra a Administração PúblicaPraticados por ParticularCorrupção ativa
Um agente tributário, em auditoria realizada na empresa MMM Maravilha Ltda., mesmo sabendo que era indevida a contribuição social, tendo em vista a comprovação, pela empresa, do recolhimento do tributo naquele mês, ainda assim exigiu de seus sócios o recolhimento de tal contribuição, empregando-lhes na cobrança meio vexatório perante os empregados. Nessa situação hipotética, a conduta do agente é tipificada no Código Penal como
Provas
Questão presente nas seguintes provas
- FundamentosPropriedades das Substâncias
- Química InorgânicaGeometria Molecular, Polaridade e Forças Intermoleculares
O modelo da repulsão dos pares de elétrons da camada de valência (VSPER) amplia a teoria da ligação química de Lewis para explicar as formas das moléculas. De acordo com essa teoria, assinale a alternativa correta, considerando os seguintes números atômicos: H = 1; Be = 4; C = 6; F = 9; P = 15; Cl = 17; e I = 53.
Provas
Questão presente nas seguintes provas
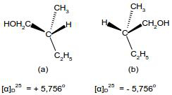
Um químico recebeu uma amostra suspeita de conter uma mistura isomérica do 2-metil 1-butanol. Após a separação dos isômeros, foi possível determinar as rotações específicas de cada isômero, conforme mostrado nas estruturas (a) e (b) a seguir.

Com base nessas informações, assinale a alternativa correta.

Com base nessas informações, assinale a alternativa correta.
Provas
Questão presente nas seguintes provas
A respeito da classificação dos locais de crime e do isolamento de local, assinale a alternativa correta.
Provas
Questão presente nas seguintes provas
Acerca de aspectos da medicina legal, assinale a alternativa correta.
Provas
Questão presente nas seguintes provas
A Toxicologia é uma ciência multidisciplinar que tem como objeto de estudo os efeitos físicos, químicos e biológicos das substâncias nocivas aos organismos. Acerca da Toxicologia, assinale a alternativa correta.
Provas
Questão presente nas seguintes provas
Considerando um cadáver na fase enfisematosa da putrefação, assinale a alternativa correta.
Provas
Questão presente nas seguintes provas
Motorista experiente, Tom encontrou-se com alguns amigos para um almoço. Durante o evento, ingeriu quatro chopes e três doses de cachaça. Após a sobremesa, ainda bebeu uma dose de licor e café. Saiu do restaurante, na condução do seu veículo, em direção à sua casa, distante um quilômetro e meio. Nesse percurso, foi abordado pela autoridade de trânsito. Com base nessa situação hipotética, assinale a alternativa correta.
Provas
Questão presente nas seguintes provas
Os processos de gestão da informação e do conhecimento e os processos de Treinamento, Desenvolvimento e Educação (TD&E) são desenhados com a finalidade de facilitar a aprendizagem contínua e eficaz.
G. Abbad & J. E. Borges-Andrade. Aprendizagem Humana em Organizações de Trabalho. Em J. C. Zanelli, J. E. Borges-Andrade & A. V. B. Bastos (Orgs.). Psicologia, Organizações e Trabalho no Brasil. Porto Alegre: Artmed, 2006, p. 237-75 (com adaptações).
Assinale a alternativa que apresenta dois tipos de aprendizagem nas organizações.
G. Abbad & J. E. Borges-Andrade. Aprendizagem Humana em Organizações de Trabalho. Em J. C. Zanelli, J. E. Borges-Andrade & A. V. B. Bastos (Orgs.). Psicologia, Organizações e Trabalho no Brasil. Porto Alegre: Artmed, 2006, p. 237-75 (com adaptações).
Assinale a alternativa que apresenta dois tipos de aprendizagem nas organizações.
Provas
Questão presente nas seguintes provas
Cadernos
Caderno Container