Foram encontradas 267 questões.
João precisa entregar 50 caixas de 40 Kg no escritório da empresa em que trabalha que fica no 5º andar de um prédio de Guarapuava. Ao arrumar as caixas no elevador, viu nas instruções que a capacidade máxima de peso que o elevador suporta é de 600kg. João pesa 80kg. Quantas viagens ele precisa dar para levar todo o material?
Provas
Questão presente nas seguintes provas
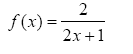
Calcule a derivada da função abaixo para x=2.

Provas
Questão presente nas seguintes provas
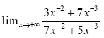
Calcule, se existir, o limite dado da seguinte função.

Provas
Questão presente nas seguintes provas
Jogando um dado ao acaso, temos o número 1
Assim, a parte do dado que ficou no chão é:
Assim, a parte do dado que ficou no chão é:Provas
Questão presente nas seguintes provas
Estela foi à feira e gastou R$ 373,00. Para efetuar o pagamento entregou ao caixa 3 notas de 100 reais e duas de 50 reais. O caixa pediu R$ 13,00 para facilitar o troco. Qual o valor que Estela recebeu de troco?
Provas
Questão presente nas seguintes provas
Qual a área máxima retangular cercada, em metros quadrados, que se pode
construir, considerando que se possui 1.000 metros linear de cerca.
Provas
Questão presente nas seguintes provas
Leia a tirinha e responda:

A separação silábica das palavras está CORRETO em:
Provas
Questão presente nas seguintes provas
Na tirinha, a utilização do vocábulo “passageira" cria um efeito de humor flagrante na resposta do médico. Assinale a opção que explica esse efeito.


Provas
Questão presente nas seguintes provas
Leia o texto e responda a questão.
Até nas flores se vê
O destino e a sorte
Umas enfeitam a vida
Outras enfeitam a morte
Sobre a linguagem do texto, podemos AFIRMAR:Até nas flores se vê
O destino e a sorte
Umas enfeitam a vida
Outras enfeitam a morte
Provas
Questão presente nas seguintes provas
Leia a tirinha e responda:

No primeiro quadrinho,qual o sentimento da expressão “Péssimo!”?
Provas
Questão presente nas seguintes provas
Cadernos
Caderno Container