Foram encontradas 267 questões.
São subgrupos de contas do Ativo Permanente:
Provas
Questão presente nas seguintes provas
- Arquitetura na Engenharia CivilCobertura
- Estruturas
- Resistência dos Materiais e Análise EstruturalEstruturas de Concreto
Considerando as lajes maciças de concreto armado, podemos admitir:
Provas
Questão presente nas seguintes provas
Quanto às tomadas elétricas de uso geral nos projetos de instalações de baixa tensão,
podemos afirmar o que se segue, EXCETO:
Provas
Questão presente nas seguintes provas
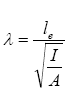
O índice de esbeltez dos pilares é dado pela seguinte expressão
, onde "I" é a inércia do pilar na direção em estudo, “A” é a área de sua seção transversal e “le” o
comprimento efetivo; considere que λ1 é o índice de esbeltez limite, a partir do qual os
esforços locais de segunda ordem tornam-se de consideração obrigatória, podemos
afirmar todas as alternativas abaixo, EXCETO:
Provas
Questão presente nas seguintes provas
Com base na Contabilidade Pública, a aquisição de um veículo, com pagamento à vista, irá gerar lançamentos nos sistemas:
Provas
Questão presente nas seguintes provas
As modalidades de licitação são determinadas em função dos limites, tendo em vista o valor estimado da contratação. Com base na contratação de obras e serviços de engenharia,marque a alternativa CORRETA:
Provas
Questão presente nas seguintes provas
Raquel tem duas peças de lona, uma com 85m e outra com 35m Para confeccionar o tapete ela dispõe de duas peças de tecido uma com 90 m e outra com 78 m. Sabendo-se que ela vai cortar as peças em tamanhos iguais e o maior possível, o número de tapete que ela conseguirá fazer é:
Provas
Questão presente nas seguintes provas
Cadernos
Caderno Container