Foram encontradas 1.716 questões.
No que concerne a escoamento de fluidos em tubos, válvulas e bocais, julgue o item subsequente.
Válvulas, bem como curvas, joelhos e bifurcações, são acessórios presentes em uma tubulação que causam um distúrbio no escoamento do fluido, provocando perda de carga localizada.
Provas
No que concerne a escoamento de fluidos em tubos, válvulas e bocais, julgue o item subsequente.
Os bocais, ou tubos adicionais, cujo comprimento deve estar entre 1,5 e 3,0 vezes o valor do seu diâmetro, são constituídos de peças tubulares adaptadas aos orifícios e têm a finalidade de dirigir o jato de determinado fluido.
Provas

A partir dessas informações, julgue o item que se segue.
A velocidade do fluido em uma determinada seção da tubulação é dada por 8/π m/s.
Provas

A partir dessas informações, julgue o item que se segue.
O escoamento do fluido na tubulação é caracterizado como turbulento, com número de Reynolds (Re ) igual a π /8 x 104.
Provas

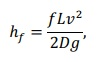
A partir dessas informações, julgue o item que se segue.
A perda de carga (hf) linear causada pelo atrito, usando-se a fórmula de Darcy-Weisbach (universal), é corretamente expressa por hf = 400/π2 m.
Provas
Julgue o item seguinte, com relação às equações que governam o movimento dos fluidos.
A equação da quantidade de movimento é fundamentada na terceira lei de Newton, também conhecida como a lei da ação e reação.
Provas
Julgue o item seguinte, com relação às equações que governam o movimento dos fluidos.
A equação da continuidade é derivada da primeira lei da termodinâmica.
Provas
Julgue o item seguinte, com relação às equações que governam o movimento dos fluidos.
A equação de Bernoulli é formulada a partir da conservação de energia em um fluido em movimento.
Provas
Em relação a geradores e motores síncronos, julgue o item a seguir.
Os motores síncronos são capazes de manter fixa sua rotação diante de variações da carga que não extrapolem sua capacidade de conjugado.
Provas
Em relação a geradores e motores síncronos, julgue o item a seguir.
A partida dos motores síncronos como motor de indução não é recomendada devido ao escorregamento que a máquina pode experimentar.
Provas
Caderno Container