Foram encontradas 603 questões.
Está em fase de projeto um viaduto que será construído numa via que faz parte das obras de infraestrutura para as Olimpíadas de 2016. Devido a um cruzamento com outra via de grande largura, existe a necessidade de construir um viaduto com um vão de 100 m entre pilares consistindo de uma laje em concreto armado apoiada em cinco longarinas feitas com perfil metálico em forma de I com módulo de elasticidade E=200 GPa. Para uma melhor análise do comportamento das longarinas, foi feito um modelo reduzido com 5 m de comprimento projetado de acordo com a teoria da semelhança e dos modelos físicos (KE = KL). A figura abaixo apresenta esquematicamente o modelo reduzido da viga com a instrumentação utilizada no ensaio. As deformações medidas para um carregamento equivalente ao de projeto foram ε1= -500x10-6 e ε2= 500x10-6. A tensão de tração obtida no modelo reduzido (σmod) e a tensão equivalente no protótipo (σprot ) são, respectivamente:

Provas
Os esforços do pórtico mostrado na figura devem ser determinados utilizando o método das forças. Assinale, entre as opções apresentadas abaixo, o sistema principal da estrutura:

Provas
A estrutura de um edifício em concreto armado com módulo de elasticidade longitudinal E é composta por quatro pilares idênticos e um piso rígido, como mostra a figura. Os pilares são considerados engastados no solo e articulados na laje. As rigidezes da estrutura nas direções x e z são, respectivamente:

Provas
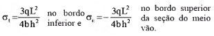
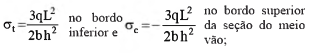
Necessita-se fazer a verificação quanto à segurança estrutural da viga bi-apoiada mostrada na figura abaixo, que tem seção transversal retangular de lados b e h e está submetida a uma carga uniformemente distribuída q. Indique as tensões principais (σI e σII) no ponto onde ocorre a máxima tensão de cisalhamento, enfatizando a sua localização:

Provas

Provas
Foi solicitada a verificação da estabilidade estrutural da coluna da figura submetida a uma carga concêntrica P. Sabendo-se que a seção transversal é retangular de lados b e d (b < d), o índice de esbeltez da coluna é:

Provas
Um pilar de concreto armado mostrado na figura está submetido a uma carga concêntrica P. Sabendo-se que os módulos de elasticidade do aço e do concreto estão numa razão 10:1 e as áreas de seção transversal estão numa razão 1:40, a relação σaço / σconcreto , entre as tensões nos dois materiais é :

Provas
Num certo edifício há duas equipes, cada uma com dois pedreiros e um ajudante, atuando diretamente no assentamento da alvenaria de vedação. Essas duas equipes são apoiadas por uma terceira equipe, com três ajudantes, atuando no andar térreo, que centraliza a produção de argamassa e envia blocos do estoque para os andares em execução. Conta-se também com a presença de dois outros ajudantes da construtora, com funções gerais de apoio, que são responsáveis pelo descarregamento e transporte de blocos e de sacos de cimento e cal até o estoque da obra. Há, ainda, um encarregado do serviço, responsável pela orientação dos operários e controle das atividades.

Sabe-se que a jornada diária é de 9 horas de trabalho e que no dia em estudo foram produzidos 50 metros quadrados de alvenaria, sendo a produtividade estimada através do cálculo da Razão Unitária de Produção (RUP), que é igual ao número de homens-hora por quantidade de serviço ocorrida em um único dia de trabalho.
Considerando-se inicialmente apenas os pedreiros que fazem o assentamento dos tijolos e, em uma segunda abordagem, a totalidade da equipe diretamente envolvida no serviço, a RUP diária seria, respectivamente, de:
Provas
A escolha do tipo de fundação de uma edificação ou estrutura é condicionada, dentre outros aspectos, por sua rigidez e pela resistência e deformabilidade do solo. Além disso, é preciso avaliar os recalques provocados por qualquer sobrecarga aplicada.

Provas

Provas
Caderno Container