Foram encontradas 537 questões.
Disciplina: Estatuto da Pessoa com Deficiência - Lei 13.146/2015
Banca: CESPE / CEBRASPE
Orgão: TCE-RS
A partir da situação hipotética apresentada e das disposições do Estatuto da Pessoa com Deficiência (Lei n.º 13.146/2015), julgue o item a seguir.
O Estatuto da Pessoa com Deficiência determina que a concessão do alvará de funcionamento para as atividades da universidade está condicionada ao cumprimento de, pelo menos, 80% das regras de acessibilidade definidas no projeto executivo da obra.
Provas
Disciplina: Estatuto da Pessoa com Deficiência - Lei 13.146/2015
Banca: CESPE / CEBRASPE
Orgão: TCE-RS
A partir da situação hipotética apresentada e das disposições do Estatuto da Pessoa com Deficiência (Lei n.º 13.146/2015), julgue o item a seguir.
Para garantir a acessibilidade comunicacional do auditório a ser construído, a universidade deverá, entre outras medidas, investir em um sistema de som adequado e oferecer assentos reservados a pessoas com deficiência, devidamente sinalizados, estrategicamente localizados perto de corredores e distribuídos em todos os setores, em locais com boa visibilidade.
Provas
Disciplina: Estatuto da Pessoa com Deficiência - Lei 13.146/2015
Banca: CESPE / CEBRASPE
Orgão: TCE-RS
A partir da situação hipotética apresentada e das disposições do Estatuto da Pessoa com Deficiência (Lei n.º 13.146/2015), julgue o item a seguir.
Suponha que a biblioteca será instalada em uma antiga estação ferroviária tombada como patrimônio histórico e sem adaptações para acessibilidade. Nesse caso, por se tratar de patrimônio histórico tombado, a universidade estará isenta de realizar obras de acessibilidade no local.
Provas
Acerca da regulamentação das atividades e atribuições do arquiteto e urbanista, julgue o item a seguir.
A emissão de laudos de inspeção sobre atividades insalubres e o desenvolvimento de projetos de sistema de proteção contra incêndios configuram atividades legalmente atribuídas aos profissionais arquitetos e urbanistas, sendo necessário, contudo, o registro do título complementar de engenheiro de segurança do trabalho em um dos conselhos de arquitetura e urbanismo dos estados ou do Distrito Federal (CAU/UF).
Provas
Acerca da regulamentação das atividades e atribuições do arquiteto e urbanista, julgue o item a seguir.
É dever do arquiteto e urbanista acompanhar a implantação ou execução de projeto ou trabalho de sua autoria, pessoalmente ou por meio de preposto especialmente designado, com a finalidade de averiguar a adequação da execução ao projeto ou à concepção original.
Provas
Acerca da regulamentação das atividades e atribuições do arquiteto e urbanista, julgue o item a seguir.
Fora das hipóteses em que a realização do registro de responsabilidade técnica (RRT) é imposta ao arquiteto e urbanista pela legislação, o RRT não poderá ser utilizado como simples meio de comprovação de autoria e registro de acervo.
Provas
Considerando a situação hipotética precedente, julgue o item seguinte.
O ensaio de consistência deverá ser realizado na primeira betonada do dia e sempre que a concretagem for interrompida por um período superior a duas horas.
Provas
Considerando a situação hipotética precedente, julgue o item seguinte.
Na formação de lotes para a realização de ensaios de resistência à compressão, o profissional responsável deverá observar o volume de concreto, o número de andares concretados e o tempo necessário para a execução dos serviços.
Provas

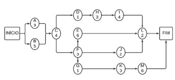
Considerando a metodologia PERT/CPM de planejamento de atividades e as informações do diagrama de rede precedente, julgue o item a seguir.
O caminho crítico para o início da atividade L é composto pela sequência B-C-F-E-L, sendo necessário um período mínimo de 18 semanas para que L seja iniciada.
Provas

Considerando a metodologia PERT/CPM de planejamento de atividades e as informações do diagrama de rede precedente, julgue o item a seguir.
Se houver um atraso de três semanas na atividade I, o prazo total para a conclusão da reforma será afetado.
Provas
Caderno Container