Foram encontradas 1.018 questões.

Considerando a figura apresentada, que representa um trecho da interconexão entre duas redes, julgue o item a seguir.
A configuração de rede no Servidor 1 pode ser:
Endereço IPv4: 10.1.2.1;
Máscara de Sub-rede: 255.1.2.1;
Gateway Padrão IPv4: 10.1.2.1;
Servidor DHCP IPv4: 10.1.2.1;
Servidor DNS IPv4: 10.1.2.1.
Provas
Questão presente nas seguintes provas

Considerando a figura apresentada, que representa um trecho da interconexão entre duas redes, julgue o item a seguir.
O tamanho do quadro Ethernet (IEEE 802.3) é variável, pois apresenta campos fixos e campos variáveis. Os campos variáveis são DADOS e FCS (frame check sum).
Provas
Questão presente nas seguintes provas

Considerando a figura apresentada, que representa um trecho da interconexão entre duas redes, julgue o item a seguir.
A comunicação VoIP necessita de um protocolo mais ágil e, portanto, com menor latência. No modelo OSI, o protocolo IP é encapsulado na camada de transporte dentro do protocolo UDP, o qual é mais ágil para as comunicações de voz.
Provas
Questão presente nas seguintes provas

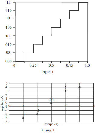
Considerando que a figura apresentada ilustra um segmento de sistema de comunicações VoIP, e que, nesse sistema, a voz é a fonte de informação, julgue o item seguinte.
Considerando-se que a figura I ilustra um quantizador normalizado de oito níveis e a figura II representa o sinal emitido pela fonte de informação após a amostragem, cujos valores estão dentro do intervalo [ - 5,5], é correto afirmar que o sinal digital na saída do conversor será igual a 000001011110111.

Provas
Questão presente nas seguintes provas
No que se refere a gerenciamento de redes, julgue o próximo item.
No protocolo SNMP, as mensagens de solicitação enviadas do gerente para o agente usam a porta 161 como destino.
Provas
Questão presente nas seguintes provas
Julgue o item que se segue, relativo a roteadores e switches.
Quando mais de um roteador multicast está conectado a uma rede, eles compartilham as listas de groupid.
Provas
Questão presente nas seguintes provas
Julgue o seguinte item, relativo a mecanismos de autenticação.
As vantagens do TACACS+ em relação ao TACACS incluem a disponibilização do serviço de registro de logs de eventos.
Provas
Questão presente nas seguintes provas
Acerca de roteamento e protocolos de roteamento, julgue o próximo item.
Nem todo pacote OSPF é associado a um único identificador de área. No caso de pacotes OSPF de anúncio de mudança de rota, a área é todo o AS.
Provas
Questão presente nas seguintes provas

Andréa B. Bertoncel. Instalações Elétricas Prediais (com adaptações).
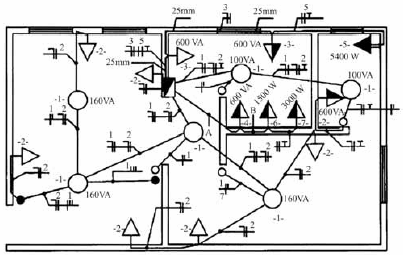
Com base na figura, que representa o projeto de instalações elétricas de uma residência, julgue o próximo item.
O projeto apresentado possui quatro interruptores three-way.
Provas
Questão presente nas seguintes provas

Andréa B. Bertoncel. Instalações Elétricas Prediais (com adaptações).
Com base na figura, que representa o projeto de instalações elétricas de uma residência, julgue o próximo item.
Se a tensão fase-neutro de alimentação da residência for 220 V, ao se considerar somente o critério de capacidade de corrente, o valor mínimo do disjuntor que deverá proteger o circuito 5 será 25 A.
Provas
Questão presente nas seguintes provas
Cadernos
Caderno Container