Foram encontradas 120 questões.

Na rede de transmissão de dados precedente, a comunicação é simplex, com fluxo constante de dados maior que a capacidade de transmissão da rede, e tem origem nos servidores 1 e 2 e destino nos servidores 3 e 4. A seguir, a tabela I apresenta o throughput de cada um dos enlaces de comunicação, enquanto a tabela II apresenta a capacidade de processamento de dados de cada roteador. O atraso de propagação dos dados fim a fim no sistema é igual a 50 ns.
Tabela I
|
Tabela II |
throughput |
| 1 |
100 Mbps |
| 2 |
1 Gbps |
| 3 |
10 Gbps |
| 4 |
1 Gbps |
| 5 |
1 Gpbs |
| 6 |
10 Mbps |
Tabela II
|
roteador |
capacidade de |
| 1 |
150 Mbps |
| 2 |
1 Gbps |
| 3 |
100 Gbps |
Com referência à figura e às informações apresentadas, julgue o seguinte item.
O tempo necessário para um pacote de dados ser enviado do servidor 1 ao servidor 3 é superior a 0,2 ms.
Provas

Na rede de transmissão de dados precedente, a comunicação é simplex, com fluxo constante de dados maior que a capacidade de transmissão da rede, e tem origem nos servidores 1 e 2 e destino nos servidores 3 e 4. A seguir, a tabela I apresenta o throughput de cada um dos enlaces de comunicação, enquanto a tabela II apresenta a capacidade de processamento de dados de cada roteador. O atraso de propagação dos dados fim a fim no sistema é igual a 50 ns.
Tabela I
|
Tabela II |
throughput |
| 1 |
100 Mbps |
| 2 |
1 Gbps |
| 3 |
10 Gbps |
| 4 |
1 Gbps |
| 5 |
1 Gpbs |
| 6 |
10 Mbps |
Tabela II
|
roteador |
capacidade de |
| 1 |
150 Mbps |
| 2 |
1 Gbps |
| 3 |
100 Gbps |
Com referência à figura e às informações apresentadas, julgue o seguinte item.
Para alterar a taxa de transmissão dos dados no sistema transmissão em tela para um mínimo de 0,5 Gbps na transmissão do servidor 2 para o servidor 4, basta alterar a capacidade do enlace 6 para pelo menos 0,5 Gbps e a capacidade de processamento do roteador 1 para 0,5 Gbps.
Provas

Na rede de transmissão de dados precedente, a comunicação é simplex, com fluxo constante de dados maior que a capacidade de transmissão da rede, e tem origem nos servidores 1 e 2 e destino nos servidores 3 e 4. A seguir, a tabela I apresenta o throughput de cada um dos enlaces de comunicação, enquanto a tabela II apresenta a capacidade de processamento de dados de cada roteador. O atraso de propagação dos dados fim a fim no sistema é igual a 50 ns.
Tabela I
|
Tabela II |
throughput |
| 1 |
100 Mbps |
| 2 |
1 Gbps |
| 3 |
10 Gbps |
| 4 |
1 Gbps |
| 5 |
1 Gpbs |
| 6 |
10 Mbps |
Tabela II
|
roteador |
capacidade de |
| 1 |
150 Mbps |
| 2 |
1 Gbps |
| 3 |
100 Gbps |
Com referência à figura e às informações apresentadas, julgue o seguinte item.
A velocidade máxima de propagação de dados no sistema de comunicação em questão, considerando os dados enviados do servidor 1 ao servidor 4, é limitada pela capacidade de processamento do roteador 1.
Provas

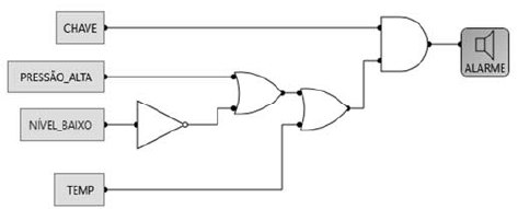
O sistema digital precedente ativa o alarme de óleo do motor de um automóvel. O circuito funciona da seguinte forma:
• o sinal PRESSÃO_ALTA identifica que a pressão do óleo do motor está acima do valor máximo de operação e é ativo em nível lógico alto;
• o sinal NÍVEL_BAIXO identifica que o nível do óleo do motor está abaixo do valor mínimo de operação e é ativo em nível lógico baixo;
• o sinal TEMP identifica que a temperatura do óleo do motor está acima do valor máximo de operação e é ativo em nível lógico alto;
• o sinal CHAVE identifica que o automóvel está ligado e é ativo em nível lógico alto.
A partir do sistema digital e das considerações apresentados, julgue o item subsequente.
A seguir, é apresentada a expressão booleana que representa o circuito lógico em tela.
ALARME = (PRESSÃO_ALTA X NÍVEL_BAIXO) + TEMP
Provas

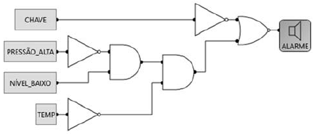
O sistema digital precedente ativa o alarme de óleo do motor de um automóvel. O circuito funciona da seguinte forma:
• o sinal PRESSÃO_ALTA identifica que a pressão do óleo do motor está acima do valor máximo de operação e é ativo em nível lógico alto;
• o sinal NÍVEL_BAIXO identifica que o nível do óleo do motor está abaixo do valor mínimo de operação e é ativo em nível lógico baixo;
• o sinal TEMP identifica que a temperatura do óleo do motor está acima do valor máximo de operação e é ativo em nível lógico alto;
• o sinal CHAVE identifica que o automóvel está ligado e é ativo em nível lógico alto.
A partir do sistema digital e das considerações apresentados, julgue o item subsequente.
A seguir, é apresentada a tabela verdade do circuito em questão.

Provas

O sistema digital precedente ativa o alarme de óleo do motor de um automóvel. O circuito funciona da seguinte forma:
• o sinal PRESSÃO_ALTA identifica que a pressão do óleo do motor está acima do valor máximo de operação e é ativo em nível lógico alto;
• o sinal NÍVEL_BAIXO identifica que o nível do óleo do motor está abaixo do valor mínimo de operação e é ativo em nível lógico baixo;
• o sinal TEMP identifica que a temperatura do óleo do motor está acima do valor máximo de operação e é ativo em nível lógico alto;
• o sinal CHAVE identifica que o automóvel está ligado e é ativo em nível lógico alto.
A partir do sistema digital e das considerações apresentados, julgue o item subsequente.
O sistema digital representado a seguir terá as mesmas respostas que o circuito em consideração.

Provas
A comunicação tem-se transformado em um setor estratégico da economia, da política e da cultura. Da guerra, ela sempre o foi. A inclusão da informação e da comunicação nas estratégias bélicas tem aumentado no correr de milênios.
No século VII a.C., o chinês Sun Tzu, em A arte da guerra, dizia que “toda guerra é embasada em dissimulação”, referindo-se à distribuição de informações falsas. Contudo, quem mais desenvolveu esse conceito foi o general prussiano Carl von Clausewitz, em seu amplo tratado Da guerra (Vom Kriege), publicado em 1832. No capítulo VI, Clausewitz afirma: “Grande parte das notícias recebidas na guerra é contraditória, uma parte ainda maior é falsa e a maior parte de todas é incerta. Em suma, a maioria das notícias é falsa, e o medo do ser humano reforça a mentira e a inverdade. As pessoas conscientes que seguem as insinuações alheias tendem a permanecer indecisas no lugar; acreditam ter encontrado as circunstâncias distintas do que imaginavam. Na guerra, tudo é incerto, e os cálculos devem ser feitos com meras grandezas variáveis. Eles direcionam a observação apenas para magnitudes materiais, enquanto todo o ato de guerra está imbuído de forças e efeitos espirituais”.
Trata-se de desinformar, e não de informar. A desinformação é a informação falsa, incompleta, desorientadora. É propagada para enganar um público determinado. Seu fim último é o isolamento do inimigo em um conflito concreto, é o de mantê-lo em um cerco informativo. Os nazistas levaram essa estratégia do engano quase à perfeição.
Atualmente, pratica-se tanto o cerco econômico, militar e diplomático quanto o informativo. Já não se trata apenas de isolar o inimigo. As novas tecnologias permitem aos militares intervir nos conflitos bélicos a distância, direcionando até mesmo os foguetes com a ajuda de GPS, a partir de um satélite. A telecomunicação militar apoiada em satélites e a eletrônica determinarão as guerras do futuro imediato. Fala-se já de bombas eletrônicas (E) que podem paralisar estabelecimentos neurais da sociedade moderna, como hospitais, centrais elétricas, oleodutos etc., destruindo os seus circuitos eletrônicos. Parece que hoje já se pode fazer a guerra sem bombas atômicas. As bombas E do tipo FCG (flux compression generator — gerador de compressão de fluxo), cujo emprego não está limitado às grandes potências bélicas, têm o mesmo efeito e fazem parte dos arsenais de alguns exércitos, e consistem em comprimir, mediante uma explosão, um campo eletromagnético, como um raio, sem os custos, os efeitos colaterais ou o enorme alcance de um dispositivo de pulso eletromagnético nuclear.
Vicente Romano. Presente e futuro imediato das telecomunicações.
São Paulo em Perspectiva. Internet: <www.scielo.br> (com adaptações).
Com relação aos sentidos e aos aspectos linguísticos do texto CB4A1-I, julgue o próximo item.
No início do segundo parágrafo, na citação de Sun Tzu, a palavra ‘dissimulação’ está empregada com sentido semelhante ao de hipocrisia.
Provas
Com base na Lei n.º 13.303/2016 e no Regulamento de Licitações e Contratos da TELEBRAS (RELIC), julgue o item a seguir.
Se, ao final da negociação, não for obtido valor igual ou inferior ao orçamento estimado para a contratação, será revogada a licitação
Provas
Com base na Lei n.º 13.303/2016 e no Regulamento de Licitações e Contratos da TELEBRAS (RELIC), julgue o item a seguir.
Nem sempre a celebração do contrato é necessária, podendo este ser substituído por autorização de compra, ordem de compra e serviço ou carta contrato.
Provas
Com base na Lei n.º 13.303/2016 e no Regulamento de Licitações e Contratos da TELEBRAS (RELIC), julgue o item a seguir.
Se o critério de julgamento for maior desconto, será adotado preferencialmente o modo de disputa aberto.
Provas
Caderno Container