Foram encontradas 60 questões.

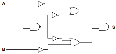
Qual é a equação da saída, S, do circuito acima?
Provas

O circuito amplificador mostrado na figura acima é construído com componentes ideais.
Nesse circuito, o valor do ganho de tensão \( Av = { \large Vo \over Vi} \) é igual a
Provas

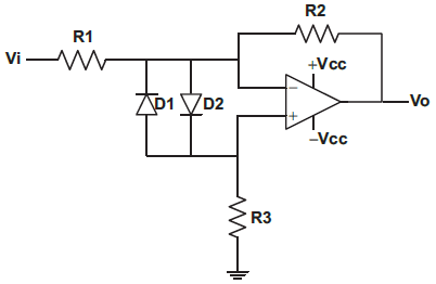
O circuito acima representa um amplificador que usa um operacional e apresenta uma proteção na entrada.
Os diodos D1 e D2
Provas
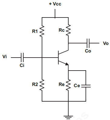
O circuito abaixo representa um amplificador transistorizado tipo emissor comum e foi projetado para funcionar obedecendo rigorosamente a um ponto de operação previamente escolhido. Depois de projetado, foi simulado em software apropriado e apresentou resultados conforme especificado no projeto, verificando-se que o transistor trabalhava na região linear da curva característica VxA do componente e não apresentava distorção no sinal de saída Vo. Por engano, na ocasião da montagem do circuito, o resistor R2 foi trocado por outro com valor 5 vezes maior do que o calculado.

Aumentando-se R2
Provas

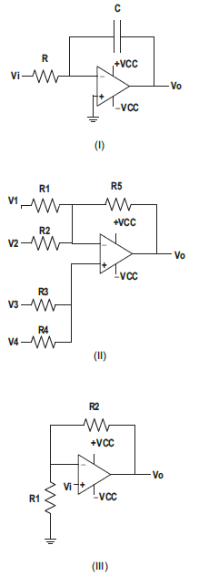
Os circuitos I, II e III acima, construídos com componentes ideais, são identificados, respectivamente, como
Provas

A curva acima representa a variação do ganho de tensão versus frequência de um filtro usando-se um amplificador operacional.
Tal filtro é conhecido como
Provas
A água para o sistema de resfriamento de uma termelétrica é tomada de um rio, através de uma tubulação de diâmetro interno igual a 2.000 mm na vazão de 376.800 L/min. A água será controlada para evitar turbilhamento na descarga por um redutor.
Assim, a velocidade média em metros por segundos (m/s) de escoamento da água pela tubulação será igual a
Provas

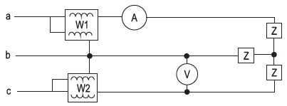
Para o circuito trifásico equilibrado representado na figura acima, as indicações dos instrumentos, wattímetros W1 e W2, amperímetro A e voltímetro V, são, respectivamente: 5.410,75 watts, 4.294,55 watts, 30 amperes e 220 volts.
Nessas condições, o fator de potência da instalação é
Provas

No sistema de potência representado pelo diagrama unifilar na figura acima, as reatâncias síncronas dos geradores G1 e G2 e as reatâncias da linha de transmissão XLT e do sistema XSE estão todas expressas em pu (por unidade). Para se calcular a corrente de curto-circuito simétrico na barra de geração, é necessário determinar a reatância equivalente de Thévenin (XTh).
O valor da reatância XTh, em pu, é tal que
Provas
O modelo de referência TCP/IP nasceu com o objetivo de manter conectados os equipamentos do Departamento de Defesa do Governo dos Estados Unidos da América (DoD – Department of Defense) mesmo que parcialmente.
O protocolo TCP/IP se caracteriza porProvas
Caderno Container