Magna Concursos

Foram encontradas 119 questões.

1835773 Ano: 2008
Disciplina: Matemática Financeira
Banca: CESPE / CEBRASPE
Orgão: TJ-CE

A taxa nominal de juros, anual, composta trimestralmente e que seja equivalente à taxa de juros anual de 42%, composta semestralmente, é superior a 45%.

 

Provas

Questão presente nas seguintes provas
1835772 Ano: 2008
Disciplina: Matemática Financeira
Banca: CESPE / CEBRASPE
Orgão: TJ-CE

Se um investimento for feito pelo período de 1 ano, à taxa de juros compostos de 32% ao ano e, no mesmo período, a taxa de inflação for igual a 20%, então a taxa real de juros no período será superior a 11%

 

Provas

Questão presente nas seguintes provas
1835771 Ano: 2008
Disciplina: Matemática Financeira
Banca: CESPE / CEBRASPE
Orgão: TJ-CE
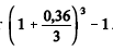
A taxa de juros anual equivalente à taxa nominal anual de juros de 36% compostos quadrimestralmente é expressa por Enunciado 1835771-1
 

Provas

Questão presente nas seguintes provas
1835770 Ano: 2008
Disciplina: Matemática Financeira
Banca: CESPE / CEBRASPE
Orgão: TJ-CE
Pedro, Paulo e Carlos investiram em um projeto, respectivamente, R$ 12.000,00, R$ 15.000,00 e R$ 18.000,00. No final de certo período, apurou-se lucro igual a R$ 3.600,00, que deverá ser divido entre os três, de forma diretamente proporcional ao que cada um investiu. Nesse caso,

Pedro receberá menos de R$ 950,00.

 

Provas

Questão presente nas seguintes provas
1835769 Ano: 2008
Disciplina: Matemática Financeira
Banca: CESPE / CEBRASPE
Orgão: TJ-CE
Pedro, Paulo e Carlos investiram em um projeto, respectivamente, R$ 12.000,00, R$ 15.000,00 e R$ 18.000,00. No final de certo período, apurou-se lucro igual a R$ 3.600,00, que deverá ser divido entre os três, de forma diretamente proporcional ao que cada um investiu. Nesse caso,

a diferença entre as quantias recebidas por Carlos e Paulo será igual à diferença entre as quantias que serão recebidas por Paulo e Pedro.

 

Provas

Questão presente nas seguintes provas
1835768 Ano: 2008
Disciplina: Matemática Financeira
Banca: CESPE / CEBRASPE
Orgão: TJ-CE
Pedro, Paulo e Carlos investiram em um projeto, respectivamente, R$ 12.000,00, R$ 15.000,00 e R$ 18.000,00. No final de certo período, apurou-se lucro igual a R$ 3.600,00, que deverá ser divido entre os três, de forma diretamente proporcional ao que cada um investiu. Nesse caso,

a quantia que caberá a Carlos será igual a 1,8 vez a que caberá a Pedro.

 

Provas

Questão presente nas seguintes provas
1835767 Ano: 2008
Disciplina: Matemática Financeira
Banca: CESPE / CEBRASPE
Orgão: TJ-CE
Com a racionalização de procedimentos processuais e administrativos, um tribunal de justiça julgou, nos 4 primeiros meses deste ano — período X —, contando apenas as decisões colegiadas e as decisões monocráticas, 8.645 processos, 75% a mais em relação ao mesmo período de 2007 — período Y. No período X, a quantidade de decisões colegiadas superou em 50% àquela do período Y. No período Y, 2007 foram 2.912 decisões colegiadas. Com relação a essa situação hipotética, julgue os itens a seguir.
Considerando que, no mês de janeiro de 2008, 80% dos processos tenham sido julgados até o dia 20 desse mês e que, se tivessem sido julgados mais 115 processos, esse percentual aumentaria para 85%, então, até o dia 20 de janeiro de 2008, foram julgados menos de 1.850 processos
 

Provas

Questão presente nas seguintes provas
1835766 Ano: 2008
Disciplina: Matemática Financeira
Banca: CESPE / CEBRASPE
Orgão: TJ-CE
Com a racionalização de procedimentos processuais e administrativos, um tribunal de justiça julgou, nos 4 primeiros meses deste ano — período X —, contando apenas as decisões colegiadas e as decisões monocráticas, 8.645 processos, 75% a mais em relação ao mesmo período de 2007 — período Y. No período X, a quantidade de decisões colegiadas superou em 50% àquela do período Y. No período Y, 2007 foram 2.912 decisões colegiadas. Com relação a essa situação hipotética, julgue os itens a seguir.
Se 8 servidores desse tribunal, igualmente eficientes, preparam, para julgamento, 160 processos em 12 horas de trabalho, então 15 servidores, trabalhando com a mesma eficiência, preparam 500 processos em menos de 18 horas.
 

Provas

Questão presente nas seguintes provas
1835765 Ano: 2008
Disciplina: Matemática Financeira
Banca: CESPE / CEBRASPE
Orgão: TJ-CE
Com a racionalização de procedimentos processuais e administrativos, um tribunal de justiça julgou, nos 4 primeiros meses deste ano — período X —, contando apenas as decisões colegiadas e as decisões monocráticas, 8.645 processos, 75% a mais em relação ao mesmo período de 2007 — período Y. No período X, a quantidade de decisões colegiadas superou em 50% àquela do período Y. No período Y, 2007 foram 2.912 decisões colegiadas. Com relação a essa situação hipotética, julgue os itens a seguir.
Com relação às decisões monocráticas, a quantidade de processos julgados no período X primeiros meses de 2008 foi superior ao dobro da quantidade julgada no período Y.
 

Provas

Questão presente nas seguintes provas
1835764 Ano: 2008
Disciplina: Matemática Financeira
Banca: CESPE / CEBRASPE
Orgão: TJ-CE
Com a racionalização de procedimentos processuais e administrativos, um tribunal de justiça julgou, nos 4 primeiros meses deste ano — período X —, contando apenas as decisões colegiadas e as decisões monocráticas, 8.645 processos, 75% a mais em relação ao mesmo período de 2007 — período Y. No período X, a quantidade de decisões colegiadas superou em 50% àquela do período Y. No período Y, 2007 foram 2.912 decisões colegiadas. Com relação a essa situação hipotética, julgue os itens a seguir.

No período Y, foram julgados menos de 4.950 processos, com decisões colegiadas e(ou) monocráticas.

 

Provas

Questão presente nas seguintes provas