Foram encontradas 1.387 questões.

Um estatístico analisou a série histórica do total anual de óbitos em certo município, de 1980 a 1999, e representou essa série temporal por {X(t)}, em que t = 1, 2, 3, ..., 20 correspondem, respectivamente, aos anos 1980, 1981, 1982, ..., 1999. A tabela acima apresenta parte da função de autocorrelação amostral e da função de autocorrelação parcial amostral. Com base nessas informações, julgue os itens de 76 a 81.
O valor da autocorrelação parcial na defasagem 5 não é estatisticamente significativo ao nível de 5%.
Provas

Um estatístico analisou a série histórica do total anual de óbitos em certo município, de 1980 a 1999, e representou essa série temporal por {X(t)}, em que t = 1, 2, 3, ..., 20 correspondem, respectivamente, aos anos 1980, 1981, 1982, ..., 1999. A tabela acima apresenta parte da função de autocorrelação amostral e da função de autocorrelação parcial amostral. Com base nessas informações, julgue os itens de 76 a 81.

Provas

Um estatístico analisou a série histórica do total anual de óbitos em certo município, de 1980 a 1999, e representou essa série temporal por {X(t)}, em que t = 1, 2, 3, ..., 20 correspondem, respectivamente, aos anos 1980, 1981, 1982, ..., 1999. A tabela acima apresenta parte da função de autocorrelação amostral e da função de autocorrelação parcial amostral. Com base nessas informações, julgue os itens de 76 a 81.
A estimativa da correlação entre as observações defasadas em dois anos, X(t) e X(t ! 2), é inferior a zero.
Provas

![]()
Provas
- Estatística InferencialTeste de HipótesesAspectos Básicos do Teste de Hipóteses
- ProbabilidadesProcessos EstocásticosClassificação dos Processos Estocásticos

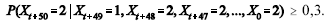
Os estados do processo estocástico {X t } são aperiódicos.
Provas

No regime estacionário, a probabilidade
é superior a 0,5.
Provas

![]()
Provas

O espaço de estados do processo é t = 0, 1, 2, 3, ....
Provas

Provas

A cadeia de Markov {X t } é irredutível.
Provas
Caderno Container