Foram encontradas 2.578 questões.

Com base nos dados do circuito elétrico acima esquematizado, que contém fontes independentes ideais de tensão e de corrente conectadas a dois resistores supostamente ideais, julgue os itens a seguir.
No circuito em questão, se um resistor de resistência R finita for conectado em série com a fonte de corrente, a corrente i, indicada no circuito, não será afetada, qualquer que seja o valor da resistência R.
Provas

Com base nos dados do circuito elétrico acima esquematizado, que contém fontes independentes ideais de tensão e de corrente conectadas a dois resistores supostamente ideais, julgue os itens a seguir.
A tensão nos terminais da fonte de corrente é superior a 10 V.
Provas

Com base nos dados do circuito elétrico acima esquematizado, que contém fontes independentes ideais de tensão e de corrente conectadas a dois resistores supostamente ideais, julgue os itens a seguir.
Nesse circuito, os resistores absorvem um total de 40 W de potência, apesar de a fonte de corrente fornecer 60 W.
Provas

A figura acima mostra um circuito elétrico alimentado por uma fonte de tensão ideal e s . Nesse circuito, os elementos elétricos são supostamente ideais, sendo que os capacitores de capacitâncias C 1 e C 2 encontram-se descarregados no instante de tempo — t — igual a zero. A partir dessas informações, julgue os itens que se seguem.
Caso o capacitor de capacitância C2 fosse substituído por um indutor com indutância L e a fonte de tensão representasse um sinal de excitação em degrau, então, em regime permanente, a corrente i seria não-nula.
Provas

A figura acima mostra um circuito elétrico alimentado por uma fonte de tensão ideal e s . Nesse circuito, os elementos elétricos são supostamente ideais, sendo que os capacitores de capacitâncias C 1 e C 2 encontram-se descarregados no instante de tempo — t — igual a zero. A partir dessas informações, julgue os itens que se seguem.
Supondo-se que a tensão es seja um degrau cuja amplitude é igual a 100 V, então, em regime permanente, a tensão v1 será exatamente igual a .

Provas

A figura acima mostra um circuito elétrico alimentado por uma fonte de tensão ideal e s . Nesse circuito, os elementos elétricos são supostamente ideais, sendo que os capacitores de capacitâncias C 1 e C 2 encontram-se descarregados no instante de tempo — t — igual a zero. A partir dessas informações, julgue os itens que se seguem.
Supondo-se que a tensão de entrada seja dada por
V, então a amplitude da tensão de saída v2 será igual a

Provas

A figura acima mostra um circuito elétrico alimentado por uma fonte de tensão ideal e s . Nesse circuito, os elementos elétricos são supostamente ideais, sendo que os capacitores de capacitâncias C 1 e C 2 encontram-se descarregados no instante de tempo — t — igual a zero. A partir dessas informações, julgue os itens que se seguem.
Na situação em que R1 = R2 e C1 = C2, a função de transferência do circuito, definida como a relação entre a saída v2 e a entrada es , é igual a 0,5, independentemente da freqüência.
Provas

A figura acima mostra um circuito elétrico alimentado por uma fonte de tensão ideal e s . Nesse circuito, os elementos elétricos são supostamente ideais, sendo que os capacitores de capacitâncias C 1 e C 2 encontram-se descarregados no instante de tempo — t — igual a zero. A partir dessas informações, julgue os itens que se seguem.
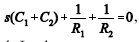
A equação característica desse circuito pode ser corretamente expressa por
, em que s é o operador da transformada de Laplace.
Provas
O Conselho Federal de Engenharia, Arquitetura e Agronomia (CONFEA), por meio de resolução, adotou um Código de Ética, que todo profissional registrado nos conselhos regionais de engenharia, arquitetura e agronomia no exercício de suas funções deve obedecer. Com base nesse Código de Ética, constitui dever do profissional no exercício da profissão
apresentar proposta de honorários com valores menores aos das tabelas de honorários mínimos aplicáveis, somente se recolher as taxas estimadas com base nas tabelas de honorários mínimos aplicáveis.
Provas
O Conselho Federal de Engenharia, Arquitetura e Agronomia (CONFEA), por meio de resolução, adotou um Código de Ética, que todo profissional registrado nos conselhos regionais de engenharia, arquitetura e agronomia no exercício de suas funções deve obedecer. Com base nesse Código de Ética, constitui dever do profissional no exercício da profissão
adotar sempre, nas suas comunicações escritas e(ou) orais com os clientes, expressão técnica e precisa.
Provas
Caderno Container