Foram encontradas 334 questões.
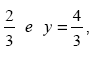
Se x = 
então x + y é igual a:
Provas
Provas
O dobro de 22 e a metade de 32 são, respectivamente:
Provas
Se x + 62 = 105, então o valor de x é:
Provas
Provas
Quando dos lançamentos de encerramento do exercício social, as contas de receita e despesa:
Provas
Indique, dentre os elementos abaixo, qual NÃO é fato permutativo:
Provas
O lançamento contábil de uma venda será feito pela emissão da nota fiscal e efetiva entrega da mercadoria, independentemente do recebimento da duplicata. Essa afirmativa diz respeito ao Princípio:
Provas
Diz-se que a situação líquida é negativa, quando o Ativo Total é:
Provas
Assinale a alternativa que preencha CORRETAMENTE as lacunas das sentenças abaixo.
O oficial listou os nomes de alguns dos colaboradores donativos sustentavam a instituição.
A faculdade, professores se refere o relatório, tem condições físicas adequadas e pode funcionar normalmente.
A aludida casa, porão foram encontrados os corpos, pertencia a um industrial finlandês.
Provas
Caderno Container