Foram encontradas 70 questões.
Um tribunal deseja prever o tempo de tramitação (em dias) de processos de uma determinada classe, desde a distribuição até a sentença em 1ª instância. Um cientista de dados ajustou um modelo de regressão usando variáveis como tipo de ação, vara, quantidade de partes e histórico de movimentações, e avaliou o modelo no conjunto de teste.
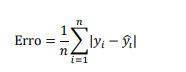
Como métrica principal, ele calculou a soma das diferenças absolutas dividida pelo número de observações, ou:

obtendo Erro = 18, que foi interpretado como: “em média, o modelo erra em 18 dias o tempo de tramitação dos processos”. A métrica utilizada pelo cientista de dados é:
Provas
O pipeline inclui as seguintes etapas:
(1) ingestão de dados em tempo real via streaming;
(2) feature engineering com agregações temporais (médias móveis de 7 e 30 dias);
(3) predição usando um modelo de gradient boosting;
(4) deployment em arquitetura de microsserviços.
Após três meses em produção, o time de MLOps observou degradação gradual no F1-score de 0.89 para 0.72, enquanto o monitoramento revelou que as distribuições das features agregadas apresentavam mudanças estatisticamente significativas (p < 0.01 no teste de Kolmogorov-Smirnov), embora as features brutas individuais permanecessem estáveis.
Considerando as melhores práticas de pipelines de ML em produção e estratégias de deployment, a equipe deve:
Provas
Diante desse cenário, é correto afirmar que o modelo:
Provas
Considerando os conceitos de compensação viés-variância, sobreajuste, subajuste e técnicas de regularização, é correto afirmar que:
Provas
A principal diferença conceitual entre essas duas abordagens reside no fato de que, no aprendizado supervisionado:
Provas
Considerando os impactos dessa decisão de projeto e os fundamentos da modelagem de dados, é correto afirmar que:
Provas
O administrador de banco de dados (DBA), preocupado com a integridade dos dados e o espaço de armazenamento, propôs que essa hierarquia fosse modelada seguindo os princípios da normalização. Segundo a proposta, a tabela de produtos conteria apenas o ID da subcategoria, que apontaria para uma tabela de subcategorias, que, por sua vez, apontaria para uma tabela de categorias, e assim sucessivamente, evitando a repetição de textos descritivos (como o nome do departamento) em milhões de linhas de produtos.
Considerando os conceitos de modelagem dimensional (Ralph Kimball) e o impacto dessa decisão na performance de consultas analíticas (OLAP), é correto afirmar que:
Provas
• Transacional e BI: o sistema de vendas gera registros financeiros que exigem consistência estrita (ACID). A equipe de analistas de negócios consome esses dados via painéis de BI que demandam baixa latência em consultas complexas com múltiplas junções (joins).
• Big Data e IA: o sistema de e-commerce gera petabytes de logs de navegação (clickstream) e dados de sensores IoT das lojas físicas (dados semiestruturados). A equipe de ciência de dados precisa acessar esses dados em seu formato bruto para treinar modelos preditivos, sem a perda de informações causada por agregações prematuras.
O arquiteto de dados precisa propor uma solução única que evite a duplicação de dados entre silos (um Data Warehouse para o BI e um Data Lake para a IA) e reduza o custo de armazenamento, mantendo a governança.
Considerando os requisitos apresentados e as características das arquiteturas modernas de dados, a abordagem arquitetural e de modelagem adequada é:
Provas
Provas
Matheus, servidor público no âmbito do Poder Executivo do Estado Alfa, abandonou, dolosamente, o cargo público por ele ocupado, sem qualquer justificativa e fora dos casos permitidos em lei. Registre-se, contudo, que a conduta de Matheus não gerou prejuízo ao poder público.
Nesse cenário, considerando as disposições do Código Penal, é correto afirmar que Matheus:
Provas
Caderno Container