Foram encontradas 119 questões.
Considerando A e B dois eventos aleatórios, com probabilidades P(A) = 0,4 e P(B) = 0,1, e o evento complementar βc , julgue os itens seguintes, relativos a probabilidade condicional.
Se A e B forem eventos independentes, então P(A|Bc) = P( A|B) =0,4
Se A e B forem eventos independentes, então P(A|Bc) = P( A|B) =0,4
Provas
Questão presente nas seguintes provas
Com relação à análise de regressão linear, julgue os itens que se seguem.
A homocedasticidade é a propriedade conforme a qual o resíduo de um modelo de regressão tem média 0.
A homocedasticidade é a propriedade conforme a qual o resíduo de um modelo de regressão tem média 0.
Provas
Questão presente nas seguintes provas
Segundo notícia veiculada recentemente, em rede nacional, os processos do judiciário estão demorando mais que o razoável porque os juízes têm de analisar, em média, 3 mil processos por ano. Para verificar o fato, um analista coletou a quantidade de processos de uma amostra de 10 juízes, estando os resultados dispostos a seguir (em mil processos por ano).
2 5 4 3 2 2 3 3,5 2,5 5
Com base nessas informações e considerando que μ representa a média populacional por juiz, julgue os itens subsequentes.
A mediana dos processos é igual a 2 mil.
2 5 4 3 2 2 3 3,5 2,5 5
Com base nessas informações e considerando que μ representa a média populacional por juiz, julgue os itens subsequentes.
A mediana dos processos é igual a 2 mil.
Provas
Questão presente nas seguintes provas
Com relação à análise de regressão linear, julgue os itens que se seguem.
Em um modelo linear simples, se a correlação entre os quantis do resíduo padronizado e uma amostra aleatória da normal padrão for alta, o modelo não terá intercepto.
Em um modelo linear simples, se a correlação entre os quantis do resíduo padronizado e uma amostra aleatória da normal padrão for alta, o modelo não terá intercepto.
Provas
Questão presente nas seguintes provas
Com o propósito de produzir inferências acerca da proporção populacional (p) de pessoas satisfeitas com determinado serviço oferecido pelo judiciário brasileiro, foi considerada uma pequena amostra de 30 pessoas, tendo cada uma de responder 1, para o caso de estar satisfeita, ou 0, para o caso de não estar satisfeita. Os dados da amostra estão registrados a seguir.
0 0 0 1 1 0 1 0 0 0 0 0 1 0 0 0 1 0 0 0 1 1 0 0 0 1 0 0 0 1
Com base nessas informações, julgue os itens seguintes.
A estimativa pontual para o parâmetro p é inferior a 0,20.
0 0 0 1 1 0 1 0 0 0 0 0 1 0 0 0 1 0 0 0 1 1 0 0 0 1 0 0 0 1
Com base nessas informações, julgue os itens seguintes.
A estimativa pontual para o parâmetro p é inferior a 0,20.
Provas
Questão presente nas seguintes provas
Considerando que X seja uma variável aleatória contínua, tal que E(X) = 1 e E(X 2 ) = 4, julgue os itens seguintes.
P(X > 4) ≤ 1/4
P(X > 4) ≤ 1/4
Provas
Questão presente nas seguintes provas

Considerando-se apenas os dados relativos aos estados de São Paulo, Rio de Janeiro, Minas Gerais e Rio Grande do Sul quanto à dispersão entre duas variáveis, é correto afirmar que a covariância entre Z e W é superior a 1 e inferior a 2.
Provas
Questão presente nas seguintes provas
O núcleo de assistência jurídica de um fórum que presta assistência jurídica gratuita a pessoas carentes recebe diariamente X casos novos, conforme uma distribuição condicional na forma.
P (X = k|Y = b) =
em que k = 0, 1, 2, ..., b > 0 e Y segue uma distribuição exponencial com função de densidade f(y) = 2e-2y, em que y > 0.
Considerando essa situação hipotética, julgue os itens subsequentes.
Espera-se que a probabilidade de não chegar casos novos em determinado dia seja superior a 0,6.
P (X = k|Y = b) =
Considerando essa situação hipotética, julgue os itens subsequentes.
Espera-se que a probabilidade de não chegar casos novos em determinado dia seja superior a 0,6.
Provas
Questão presente nas seguintes provas
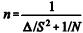
Com relação às técnicas de amostragem, julgue os itens subsequentes.
Na amostragem aleatória simples sem reposição (AASs), o tamanho amostral n é calculado por

em que N é o tamanho da população, S2 é a variância amostral e Δ= (B/z)2,sendo B o erro máximo de estimação e z o quantil da distribuição normal. Dessa forma, é correto afirmar que o maior tamanho amostral na AASs será menor que N.
Na amostragem aleatória simples sem reposição (AASs), o tamanho amostral n é calculado por
em que N é o tamanho da população, S2 é a variância amostral e Δ= (B/z)2,sendo B o erro máximo de estimação e z o quantil da distribuição normal. Dessa forma, é correto afirmar que o maior tamanho amostral na AASs será menor que N.
Provas
Questão presente nas seguintes provas
Julgue os próximos itens, referentes à qualidade de ajuste de um modelo de regressão.
Considere que, em uma tabela de ANOVA para ajuste de um modelo de regressão, a soma de quadrados totais não corrigida pela média
tem associado n graus de liberdade. Nesse caso, o quadrado da média da variável resposta tem associado 2 graus de liberdade.
Considere que, em uma tabela de ANOVA para ajuste de um modelo de regressão, a soma de quadrados totais não corrigida pela média
Provas
Questão presente nas seguintes provas
Cadernos
Caderno Container