Magna Concursos

Foram encontradas 119 questões.

787386 Ano: 2014
Disciplina: Estatística
Banca: CESPE / CEBRASPE
Orgão: TJ-SE
Para verificar se a escolaridade dos servidores de determinado tribunal estaria relacionada à eficiência no atendimento ao público, um analista pesquisou alguns servidores, dispondo as informações obtidas na tabela a seguir.

Enunciado 787386-1
Com base nessas informações e considerando que a escolaridade de cada servidor entrevistado, apresentada na tabela, corresponda à maior escolaridade que possui, julgue os itens seguintes.

Para verificar se as variáveis estão associadas, pode-se utilizar o teste qui-quadrado com 4 graus de liberdade.
 

Provas

Questão presente nas seguintes provas
787385 Ano: 2014
Disciplina: Estatística
Banca: CESPE / CEBRASPE
Orgão: TJ-SE
Segundo notícia veiculada recentemente, em rede nacional, os processos do judiciário estão demorando mais que o razoável porque os juízes têm de analisar, em média, 3 mil processos por ano. Para verificar o fato, um analista coletou a quantidade de processos de uma amostra de 10 juízes, estando os resultados dispostos a seguir (em mil processos por ano).

2 5 4 3 2 2 3 3,5 2,5 5

Com base nessas informações e considerando que µ representa a média populacional por juiz, julgue os itens subsequentes.

Sabendo-se que Enunciado 787385-1 em que xi representa a quantidade anual de processos com o juiz i (i = 1, ..., 10) e Enunciado 787385-2 é a média amostral dessas quantidades, conclui-se que o erro padrão da média utilizado para o cálculo do intervalo de confiança para a média é superior a 100.
 

Provas

Questão presente nas seguintes provas
787384 Ano: 2014
Disciplina: Estatística
Banca: CESPE / CEBRASPE
Orgão: TJ-SE
Considerando X1, X2, ..., Xn uma amostra aleatória simples retirada de uma distribuição com média μ e desvio padrão σ,e a estatística Enunciado 787384-1 julgue os itens que se seguem.

Se Enunciado 787384-2 então Enunciado 787384-3 é um estimador não tendencioso (ou não viciado) da média amostral.
 

Provas

Questão presente nas seguintes provas
787383 Ano: 2014
Disciplina: Estatística
Banca: CESPE / CEBRASPE
Orgão: TJ-SE
Considerando X1, X2, ..., Xn uma amostra aleatória simples retirada de uma distribuição com média μ e desvio padrão σ,e a estatística
Enunciado 787383-1 julgue os itens que se seguem.

De acordo com o teorema central do limite, a sequência de estatísticas Tn converge em distribuição para uma distribuição normal..
 

Provas

Questão presente nas seguintes provas
787382 Ano: 2014
Disciplina: Estatística
Banca: CESPE / CEBRASPE
Orgão: TJ-SE
A produtividade do magistrado (Z) é um indicador que permite medir a celeridade dos processos judiciais. Ela é definida como uma razão na forma Z = Enunciado 787382-1 em que X representa o total anual de processos julgados pelos magistrados de certo tribunal e N, uma constante, representa o total de magistrados existentes nesse tribunal. Embora X seja uma variável aleatória discreta, ela pode ser aproximada por uma distribuição normal com média μ e desvio padrão σ.

Com base nessa situação hipotética, julgue os itens a seguir.

A produtividade do magistrado é uma variável aleatória que segue, aproximadamente, uma distribuição normal com média Enunciado 787382-2 de desvio padrão Enunciado 787382-3
 

Provas

Questão presente nas seguintes provas
787381 Ano: 2014
Disciplina: Estatística
Banca: CESPE / CEBRASPE
Orgão: TJ-SE
A produtividade do magistrado (Z) é um indicador que permite medir a celeridade dos processos judiciais. Ela é definida como uma razão na forma Z = Enunciado 787381-1 em que X representa o total anual de processos julgados pelos magistrados de certo tribunal e N, uma constante, representa o total de magistrados existentes nesse tribunal. Embora X seja uma variável aleatória discreta, ela pode ser aproximada por uma distribuição normal com média μ e desvio padrão σ.

Com base nessa situação hipotética, julgue os itens a seguir.

O indicador Z representa o número médio anual de processos julgados por um magistrado no referido tribunal.
 

Provas

Questão presente nas seguintes provas
787380 Ano: 2014
Disciplina: Estatística
Banca: CESPE / CEBRASPE
Orgão: TJ-SE
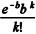
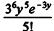
O núcleo de assistência jurídica de um fórum que presta assistência jurídica gratuita a pessoas carentes recebe diariamente X casos novos, conforme uma distribuição condicional na forma.

P (X = k|Y = b) = Enunciado 787380-1 em que k = 0, 1, 2, ..., b > 0 e Y segue uma distribuição exponencial com função de densidade f(y) = 2e-2y, em que y > 0.

Considerando essa situação hipotética, julgue os itens subsequentes.

Considerando-se que, em certo dia, o núcleo tenha recebido 5 casos novos, é correto afirmar que a distribuição condicional Y|X = 5 segue a distribuição gamma na forma f(y|5) = Enunciado 787380-2
 

Provas

Questão presente nas seguintes provas
787379 Ano: 2014
Disciplina: Estatística
Banca: CESPE / CEBRASPE
Orgão: TJ-SE
O núcleo de assistência jurídica de um fórum que presta assistência jurídica gratuita a pessoas carentes recebe diariamente X casos novos, conforme uma distribuição condicional na forma.

P (X = k|Y = b) = Enunciado 787379-1 em que k = 0, 1, 2, ..., b > 0 e Y segue uma distribuição exponencial com função de densidade f(y) = 2e-2y, em que y > 0.

Considerando essa situação hipotética, julgue os itens subsequentes.

O desvio padrão da variável aleatória Y é igual a 2.
 

Provas

Questão presente nas seguintes provas
787378 Ano: 2014
Disciplina: Estatística
Banca: CESPE / CEBRASPE
Orgão: TJ-SE
O núcleo de assistência jurídica de um fórum que presta assistência jurídica gratuita a pessoas carentes recebe diariamente X casos novos, conforme uma distribuição condicional na forma.

P (X = k|Y = b) = Enunciado 787378-1 em que k = 0, 1, 2, ..., b > 0 e Y segue uma distribuição exponencial com função de densidade f(y) = 2e-2y, em que y > 0.

Considerando essa situação hipotética, julgue os itens subsequentes.

Se o valor b for desconhecido, a quantidade média diária de casos novos — E(X) — também será desconhecida.
 

Provas

Questão presente nas seguintes provas
787377 Ano: 2014
Disciplina: Estatística
Banca: CESPE / CEBRASPE
Orgão: TJ-SE
O núcleo de assistência jurídica de um fórum que presta assistência jurídica gratuita a pessoas carentes recebe diariamente X casos novos, conforme uma distribuição condicional na forma.

P (X = k|Y = b) = Enunciado 787377-1 em que k = 0, 1, 2, ..., b > 0 e Y segue uma distribuição exponencial com função de densidade f(y) = 2e-2y, em que y > 0.

Considerando essa situação hipotética, julgue os itens subsequentes.

O valor b representa a taxa diária de chegada de casos novos, sendo essa taxa o valor esperado da quantidade diária X condicionada ao evento Y = b, ou seja, E(X|Y = b) = b.
 

Provas

Questão presente nas seguintes provas