Foram encontradas 70 questões.
Na desidrogenação do etano para a produção de etileno, o hidrogênio também formado reage com o próprio etano gerando metano, de acordo com as seguintes reações:
(1) C2H6 → C2H4 + H2
(1) C2H6 + H2 → 2CH4
Considere que:
• a seletividade do etileno em relação ao metano é 4 (mol etileno/mol metano);
• há 125 kmol/h de CH4 no efluente.
Nesse caso, o rendimento de etileno em relação ao etano consumido é, aproximadamente,
Provas
Questão presente nas seguintes provas
O ciclo percorrido por um fluido em uma máquina de Carnot é representado por
Provas
Questão presente nas seguintes provas
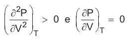
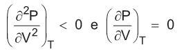
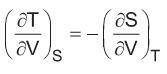
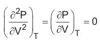
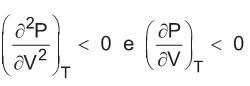
Para uma substância pura nas suas condições críticas (Pc, Tc e Vc) as relações entre P, V e T que devem ser satisfeitas são
Provas
Questão presente nas seguintes provas
Sabendo-se que as variáveis entalpia específica, entropia específica e pressão são representadas por H, S e P, respectivamente, em um diagrama de Mollier, a inclinação de uma linha isobárica é dada por
Provas
Questão presente nas seguintes provas
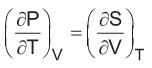
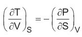
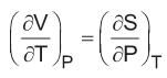
Para 1 mol de substância pura sofrendo uma transformação reversível de um estado inicial 1 a um estado final 2, dU = TdS - PdV, onde as variáveis U, S e V são,
respectivamente, energia interna, entropia e volume molares, e as variáveis T e P são, respectivamente, temperatura e pressão.
A relação de Maxwell obtida a partir da equação acima é
respectivamente, energia interna, entropia e volume molares, e as variáveis T e P são, respectivamente, temperatura e pressão.
A relação de Maxwell obtida a partir da equação acima é
Provas
Questão presente nas seguintes provas
O campo de operação de uma coluna recheada é limitado por vazões da fase líquida e da fase vapor que podem acarretar problemas capazes de comprometer seriamente a operação da coluna. Entre essas anomalias de funcionamento, o gotejamento (weeping) causa uma diminuição significativa na eficiência do prato.
O gotejamento é causado quando a fase
O gotejamento é causado quando a fase
Provas
Questão presente nas seguintes provas
Um líquido foi ensaiado em reômetro de cilindros concêntricos, tendo-se constatado que sua viscosidade aparente diminuía quando a taxa de cisalhamento aumentava, sem apresentar efeitos de histerese.
Tal material se enquadra na categoria dos fluidos
Tal material se enquadra na categoria dos fluidos
Provas
Questão presente nas seguintes provas
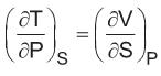
Em uma turbina bem isolada, o vapor d’água, a alta pressão, sofre uma expansão adiabática e reversível para produzir trabalho mecânico.
Se, para esse processo, as variações de entalpia e entropia específicas forem representadas por (ΔH) e (ΔS), respectivamente, então,
Se, para esse processo, as variações de entalpia e entropia específicas forem representadas por (ΔH) e (ΔS), respectivamente, então,
Provas
Questão presente nas seguintes provas
Um material sólido que contém umidade passa por um processo de secagem em batelada. A massa inicial do sólido úmido é de 50 kg, e a percentagem mássica de umidade nesse sólido é igual a 99% (em base úmida, ou seja, em relação à massa total do sólido úmido). Após o processo de secagem, verificou-se que a percentagem mássica de umidade no sólido em base úmida era de 98%.
A massa total do sólido (incluindo a umidade restante) após o processo de secagem é, em quilogramas, igual a
A massa total do sólido (incluindo a umidade restante) após o processo de secagem é, em quilogramas, igual a
Provas
Questão presente nas seguintes provas

O gráfico da figura acima refere-se ao método de McCabe-Thiele da separação por destilação da mistura AB.
Para a separação dada, a mínima razão de refluxo externa de topo é
Provas
Questão presente nas seguintes provas
Cadernos
Caderno Container