Foram encontradas 1.320 questões.
A característica de um instrumento de medição em gerar respostas próximas a um valor verdadeiro convencional, normalmente dadas como um valor percentual do seu fundo de escala, é denominada
Provas

O circuito da figura acima, empregado para comando de um motor elétrico, é denominado
Provas
A distância, em m, a partir da qual se recomenda empregar transmissão eletrônica de sinais, de modo que os atrasos associados não prejudiquem o controle de um processo, é
Provas
Quando se necessita manter a força de um atuador constante, deve ser empregada a válvula
Provas
Um atuador hidráulico ou pneumático, com uma entrada e/ou uma saída, é denominado
Provas

A válvula de controle mostrada na figura acima é denominada
Provas

O acionamento mostrado na figura acima é do tipo
Provas
Em um sistema de controle em malha fechada, as variáveis a serem controladas pertencem à(ao)
Provas
A sintonia de um PID é, normalmente, iniciada pelo ajuste do modo
Provas

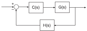
A função de transferência do ramo direto do sistema na figura acima é
Provas
Caderno Container