Foram encontradas 70 questões.
Disciplina: TI - Redes de Computadores
Banca: CESGRANRIO
Orgão: Transpetro
Provas
Disciplina: TI - Redes de Computadores
Banca: CESGRANRIO
Orgão: Transpetro
Uma vantagem competitiva desse tipo de firewall consiste na(o)
Provas
Disciplina: TI - Segurança da Informação
Banca: CESGRANRIO
Orgão: Transpetro
Esse tipo de ataque é conhecido como
Provas
Sabe-se que uma função temporal f(t), formada por um pulso retangular de amplitude A e de largura t, centrado na origem do eixo dos tempos, tem a sua transformada de Fourier, que é a função complexa F(ω), calculada assim:

onde a função: Sa (x) = sen (x) / x é conhecida como FUNÇÃO SAMPLE.
Agora, considere a função temporal g(t), mostrada no gráfico da Figura a seguir, formada por dois pulsos retangulares deslocados no tempo.

Com base nos dados do gráfico e nas informações dadas, aplicando-se as propriedades daTranformada de Fourier, obtém-se a expresão de G(ω), que é a Transformada de Fourier de g(t), expressa por:
Provas
Considerando-se as condições iniciais nulas e aplicando-se na entrada desse sistema um degrau unitário, a resposta y(t), após atingir o regime permanente, vai
Provas
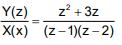
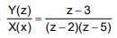
Um sistema Linear, Discreto, Invariante no Tempo e causal, que tem, como entrada, o sinal x(n) e, como saída, o sinal y(n), é representado pela equação de diferenças de segunda ordem mostrada a seguir.
y(n) - 3y(n-1) + 2y(n-2) = x(n) - 3x(n-1)
Considerando-se as condições iniciais nulas e aplicando-se as propriedades da Transformada Z, a Função de
Transferência desse sistema, que relaciona ![]()
Provas
A Figura a seguir mostra a visão de uma tela de osciloscópio onde se observa uma forma de onda de tensão de um sinal periódico do tipo Dente de Serra. Os valores de amplitude e de tempo estão expostos no gráfico.

O valor eficaz é calculado pela expressão
onde T é Período do sinal.
O valor eficaz, em volts, desse sinal de tensão é
Provas
Considere um sinal periódico, com período T, representado por uma série de Fourier, isto é:

com ω0= 2π / T. Se f(t) corresponde ao sinal periódico da forma

com f(t) = f(t+T), então, com relação à sua série de Fourier, verifica-se que
Provas
Na entrada do circuito, é colocada uma fonte DC de 12V e a chave C. Em t = 0, a chave C é fechada.
Qual deverá ser a expressão matemática que representa a tensão Vo na saída do circuito, em volts, para t ≥ 0?
Provas
Provas
Caderno Container