Foram encontradas 937 questões.
No transistor bipolar, a especificação que corresponde à relação entre as correntes de coletor e de base é
Provas
Questão presente nas seguintes provas
Das alternativas abaixo, a que NÃO corresponde a uma tecnologia de fabricação de circuitos integrados da família TTL é
Provas
Questão presente nas seguintes provas
Uma barra de perfil de alumínio tem a sua seção transversal retangular especificada em 2" × 1". Portanto, em milímetro, a seção possui aproximadamente as dimensões
Provas
Questão presente nas seguintes provas

Assinale a alternativa que preenche corretamente as lacunas da afirmação abaixo.
Trata-se de um filtro ativo ...... que atua também como um ...... para sinais de entrada com freqüências bem ...... do que a freqüência de corte.
Provas
Questão presente nas seguintes provas

Assinale a alternativa que corresponde a uma característica do amplificador operacional real.
Provas
Questão presente nas seguintes provas
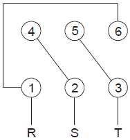
Um motor trifásico de 6 terminais pode operar em 220 V ou 380 V. Os terminais das bobinas são identificados por (1-4), (2-5) e (3-6) e estão ligados da seguinte forma:

Nesta conexão, o motor está configurado como
Provas
Questão presente nas seguintes provas
Para realizar um teste de isolação, deve-se utilizar um
Provas
Questão presente nas seguintes provas
O subsistema digital que seleciona uma entre N entradas, por meio de n variáveis de seleção, em que N = 2n, e a disponibiliza em sua saída é o
Provas
Questão presente nas seguintes provas

O circuito foi testado em laboratório por um multímetro, tendo sido realizadas as medidas V1, V2 e V3.
Medidas:
VCC = 12 V
V1 = 1,80 V
V2 = 1,15 V
V3 = 7,25 V
(Circuito extraído do livro: Sistemas Analógicos ? Circuitos com Diodos e Transistores ? Otávio Markus ? Editora Érica 2001.)
As tensões VBE e VCE valem, respectivamente,
Provas
Questão presente nas seguintes provas

O circuito foi testado em laboratório por um multímetro, tendo sido realizadas as medidas V1, V2 e V3.
Medidas:
VCC = 12 V
V1 = 1,80 V
V2 = 1,15 V
V3 = 7,25 V
(Circuito extraído do livro: Sistemas Analógicos ? Circuitos com Diodos e Transistores ? Otávio Markus ? Editora Érica 2001.)
O transistor do circuito é do tipo
Provas
Questão presente nas seguintes provas
Cadernos
Caderno Container