Foram encontradas 300 questões.
A área de conhecimento em gerenciamento de projetos conhecida como Gerenciamento dos Riscos do Projeto é composta por um conjunto de processos. Em cada um deles o Guia PMBoK 4ª edição sugere o uso de ferramentas e técnicas. Dentre elas, sugere o uso da análise de Forças (Strengths), Fraquezas (Weaknesses), Oportunidades (Opportunities) e Ameaças (Threats), conhecida como análise SWOT, no processo de
Provas
Questão presente nas seguintes provas
Em um processo de partilha de herança monetária entre Maria, Lúcia e Cláudia, ficou decidido que:
I. Maria será a primeira a receber sua parte na herança, e o valor recebido será, diretamente, proporcional à sua idade, quando comparada com a idade das três herdeiras.
II. Lúcia e Cláudia receberão valores, inversamente, proporcionais às suas respectivas idades comparadas.
Sabe-se que Maria tem o dobro da idade de Lúcia que, por sua vez, tem a metade da idade de Cláudia que, por sua vez, recebeu R$ 12.000,00 da herança.
Nas condições descritas, a pessoa que recebeu a menor porcentagem da herança, e essa porcentagem recebida por ela, são, respectivamente,
I. Maria será a primeira a receber sua parte na herança, e o valor recebido será, diretamente, proporcional à sua idade, quando comparada com a idade das três herdeiras.
II. Lúcia e Cláudia receberão valores, inversamente, proporcionais às suas respectivas idades comparadas.
Sabe-se que Maria tem o dobro da idade de Lúcia que, por sua vez, tem a metade da idade de Cláudia que, por sua vez, recebeu R$ 12.000,00 da herança.
Nas condições descritas, a pessoa que recebeu a menor porcentagem da herança, e essa porcentagem recebida por ela, são, respectivamente,
Provas
Questão presente nas seguintes provas
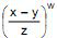
Na expressão
- as letras x, y, z e w podem ser substituídas por qualquer número inteiro de -3 a 3, sem que se possa repetir um mesmo número na mesma expressão, e desde que se possa calcular o valor numérico da expressão com as substituições feitas. Sendo M o maior valor numérico possível dessa expressão, e m o menor valor numérico possível, então M - m é igual a
- as letras x, y, z e w podem ser substituídas por qualquer número inteiro de -3 a 3, sem que se possa repetir um mesmo número na mesma expressão, e desde que se possa calcular o valor numérico da expressão com as substituições feitas. Sendo M o maior valor numérico possível dessa expressão, e m o menor valor numérico possível, então M - m é igual aProvas
Questão presente nas seguintes provas
Um corredor possui cem armários vazios, fechados e numerados de 1 a 100. Passando por esse corredor, Luiz abriu apenas as portas dos armários de numeração múltiplo de 2. Em seguida, Álvaro passou pelo corredor e fechou apenas as portas dos armários de numeração múltiplo de 3 que estavam abertos. Por fim, Lígia passou pelo corredor e colocou livros apenas nos armários abertos e de numeração múltiplo de 5. Ao final das operações realizadas por Luiz, Álvaro e Lígia, dos cem armários, permaneceram vazios
Provas
Questão presente nas seguintes provas
Para esvaziar um tanque de água, uma indústria dispõe de 4 tubulações com a mesma capacidade de vazão, cada uma. Com as 4 tubulações funcionando normalmente, o tanque é esvaziado em exatas 6 horas. Em uma ocasião, o tanque começou a ser esvaziado utilizando-se as 4 tubulações, e após meia hora, o registro de uma das tubulações apresentou defeito e bloqueou totalmente a saída de água por aquela tubulação. O processo de esvaziamento continuou com 3 tubulações por mais 40 minutos quando o registro de outra tubulação apresentou defeito e também bloqueou totalmente a saída de água por aquela tubulação. O processo continuou com duas tubulações até o esvaziamento se completar. O tempo de esvaziamento de todo o tanque, nessa ocasião, foi de
Provas
Questão presente nas seguintes provas
Um investidor inicia seus negócios com um valor x. Após um mês, faz a 1ª apuração e verifica que perdeu 20% de seu valor inicial. Após outro mês, faz a 2ª operação e verifica que perdeu 30% do valor da 1ª apuração. Após o 3º mês, faz a 3ª apuração e verifica que havia recuperado 10% do valor que tinha no momento da 2ª apuração. Após esses três meses, no momento da 3ª apuração, esse investidor verificou que já perdera, em relação ao valor inicial x, uma parte correspondente, em %, a
Provas
Questão presente nas seguintes provas
Considere verdadeiras as afirmativas:
Se não fui ao mercado, então não fiz compras.
Comprei creme e sabonete.
Ou comprei queijo ou comprei iogurte.
Comprei cereal ou comprei pão.
A partir dessas afirmações, pode-se concluir que
Se não fui ao mercado, então não fiz compras.
Comprei creme e sabonete.
Ou comprei queijo ou comprei iogurte.
Comprei cereal ou comprei pão.
A partir dessas afirmações, pode-se concluir que
Provas
Questão presente nas seguintes provas
A sequência numérica 1, 7, 8, 3, 4, 1, 7, 8, 3, 4, 1, 7, 8, 3, 4, 1, ..., cujos dezesseis primeiros termos estão explicitados, segue o mesmo padrão de formação infinitamente. A soma dos primeiros 999 termos dessa sequência é igual a
Provas
Questão presente nas seguintes provas
“Se vou ao shopping, então faço compras”.
Supondo verdadeira a afirmação anterior, e a partir dela, pode-se concluir que
Supondo verdadeira a afirmação anterior, e a partir dela, pode-se concluir que
Provas
Questão presente nas seguintes provas
Considere verdadeiras as afirmações:
Se vou ao cinema, então como pipoca.
Se o lugar é marcado, então não posso sentar em outra cadeira.
Fui ao cinema.
A partir, apenas, dessas afirmações é possível concluir que
Se vou ao cinema, então como pipoca.
Se o lugar é marcado, então não posso sentar em outra cadeira.
Fui ao cinema.
A partir, apenas, dessas afirmações é possível concluir que
Provas
Questão presente nas seguintes provas
Cadernos
Caderno Container