Foram encontradas 520 questões.
Em um estudo é considerada a distribuição binomial Pm(x) = Cmx px(1 − p)m−x, em que x é o número de ocorrências de um acontecimento em m provas, sabendo-se que na i-ésima experiência de uma série de n, comportando m provas cada uma, o acontecimento ocorreu xi vezes. Deseja-se encontrar, pelo método da máxima verossimilhança, a estimativa pontual do parâmetro p com a qual um acontecimento A ocorre em cada prova, sabendo-se que em 80 experiências de 5 provas cada uma forneceram a distribuição abaixo.
xi 0 1 2 3 4 5 Total ni 2 8 20 25 20 5 80
Observação: ni é o número de experiências nas quais o acontecimento A ocorreu xi vezes.
O valor da estimativa de p é então, em %, igual a
xi 0 1 2 3 4 5 Total ni 2 8 20 25 20 5 80
Observação: ni é o número de experiências nas quais o acontecimento A ocorreu xi vezes.
O valor da estimativa de p é então, em %, igual a
Provas
Questão presente nas seguintes provas
Seja X uma população { X1, X2, X3, ... , X100 } formada por 100 números estritamente positivos com um desvio padrão igual a 4 e com a soma dos quadrados de todos estes 100 números igual a 41.600. Seja Y uma outra população { Y1, Y2, Y3, ... , Y50 } formada por 50 números também estritamente positivos com uma média igual a da população anterior e com a soma dos quadrados de todos estes 50 números igual a 20.200. Os coeficientes de variação de X e de Y
Provas
Questão presente nas seguintes provas
As variáveis aleatórias X e Y representam a altura (em centímetros) dos habitantes de uma cidade e o peso (em quilos) dos habitantes de uma outra cidade, respectivamente. Considera-se que as correspondentes populações de X e Y são normalmente distribuídas e de tamanho infinito. Uma amostra aleatória de tamanho 100 da população de X forneceu um intervalo de confiança, ao nível de confiança de 88%, para a média (μX), em cm, igual a [156,1 ; 163,9], sabendo-se que a variância populacional de X é igual a 625 cm2. Uma amostra aleatória de tamanho 400 da população de Y forneceu um intervalo de confiança, ao nível de confiança de 88%, para a média (μY), em kg, igual a [68,83 ; 71,17]. A variância populacional de Y, em kg2 , é igual a
Provas
Questão presente nas seguintes provas
- Distribuições de ProbabilidadeDistribuições ContínuasNormal
- Estatística DescritivaMedidas de Tendência Central
Para resolver à questão , use, dentre as informações abaixo, as que julgar apropriadas. Se Z tem distribuição normal padrão, então:
P(Z < 0,44) = 0,67; P(Z < 0,5) = 0,691; P(Z < 1) = 0,841; P(Z < 1,5) = 0,933; P(Z < 2,05) = 0,98.
A renda média de uma comunidade pode ser considerada como sendo uma variável aleatória com distribuição normal com média µ reais e desvio padrão de R$ 400,00. Se a porcentagem da população que tem renda superior a R$ 2.000,00 é de 67%, o valor de μ, em reais, é
P(Z < 0,44) = 0,67; P(Z < 0,5) = 0,691; P(Z < 1) = 0,841; P(Z < 1,5) = 0,933; P(Z < 2,05) = 0,98.
A renda média de uma comunidade pode ser considerada como sendo uma variável aleatória com distribuição normal com média µ reais e desvio padrão de R$ 400,00. Se a porcentagem da população que tem renda superior a R$ 2.000,00 é de 67%, o valor de μ, em reais, é
Provas
Questão presente nas seguintes provas
Em uma determinada carreira profissional composta por 400 trabalhadores, verifica-se que a média aritmética das alturas de todos os trabalhadores é igual a 170 cm. Sabe-se que a média aritmética das alturas dos 250 trabalhadores do sexo masculino é igual à média aritmética das alturas dos 150 trabalhadores do sexo feminino. Os desvios padrões das alturas dos trabalhadores do sexo masculino e dos trabalhadores do sexo feminino são iguais a 12 cm e 20 cm, respectivamente. A variância (em cm2) das alturas de todos os trabalhadores desta carreira profissional é igual a
Provas
Questão presente nas seguintes provas
Para resolver à questão , use, dentre as informações abaixo, as que julgar apropriadas. Se Z tem distribuição normal padrão, então:
P(Z < 0,44) = 0,67; P(Z < 0,5) = 0,691; P(Z < 1) = 0,841; P(Z < 1,5) = 0,933; P(Z < 2,05) = 0,98.

Nestas condições, a probabilidade expressa por P(5 < U < 11), sendo que U é a variável aleatória definida por U = aW com a = [1 , -2], é igual a
P(Z < 0,44) = 0,67; P(Z < 0,5) = 0,691; P(Z < 1) = 0,841; P(Z < 1,5) = 0,933; P(Z < 2,05) = 0,98.

Nestas condições, a probabilidade expressa por P(5 < U < 11), sendo que U é a variável aleatória definida por U = aW com a = [1 , -2], é igual a
Provas
Questão presente nas seguintes provas
De uma população com 1.000 famílias, tomou-se uma amostra aleatória simples de 50 famílias, na qual foram observadas as seguintes variáveis:
X = número de pessoas na família e Y = gasto mensal com saúde, em reais.

X = número de pessoas na família e Y = gasto mensal com saúde, em reais.

Provas
Questão presente nas seguintes provas
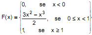
O diâmetro de uma peça, em dm, é uma variável aleatória contínua X com função de distribuição acumulada dada por:

Nessas condições, o diâmetro médio da peça, em dm, é igual a

Nessas condições, o diâmetro médio da peça, em dm, é igual a
Provas
Questão presente nas seguintes provas
A função densidade de probabilidade da variável bidimensional contínua (X,Y) é dada por:

Onde K é a constante adequada para tornar f(x) uma função densidade de probabilidade.
Nessas condições, a esperança condicional de X, dado que Y é igual a 1/6, denotada por E (X|Y = 1/6), é igual a

Onde K é a constante adequada para tornar f(x) uma função densidade de probabilidade.
Nessas condições, a esperança condicional de X, dado que Y é igual a 1/6, denotada por E (X|Y = 1/6), é igual a
Provas
Questão presente nas seguintes provas
Sabe-se que a variável aleatória contínua X tem função densidade de probabilidade dada por:

Onde K é a constante adequada para tornar f(x) uma função densidade de probabilidade. Sejam: μ e θ, respectivamente, a média e a mediana de X. Nessas condições, μ + 2 θ é igual a

Onde K é a constante adequada para tornar f(x) uma função densidade de probabilidade. Sejam: μ e θ, respectivamente, a média e a mediana de X. Nessas condições, μ + 2 θ é igual a
Provas
Questão presente nas seguintes provas
Cadernos
Caderno Container