Foram encontradas 516 questões.
Para responder às questões use, dentre as informações dadas abaixo, as que julgar apropriadas.
Se e é a base dos logaritmos naturais, tem-se
e-1 = 0,37, e-1,2 = 0,30, e-1,5 = 0,22, e-2 = 0,14.
Para fazer uma compra, via internet, uma pessoa escolhe entre duas grandes lojas de departamentos: A e B. Suponha que em 40% dos casos essa pessoa escolha a loja A e em 60% dos casos escolha a B. Suponha que o tempo de conexão, em minutos, para a efetivação da compra seja uma variável com distribuição exponencial com médias 5 minutos e 4 minutos, respectivamente, para a compra em A e B. Nessas condições, a probabilidade de ao fazer uma compra a loja escolhida ser B, dado que o tempo de efetivação da compra foi superior a 6 minutos é igual aSe e é a base dos logaritmos naturais, tem-se
e-1 = 0,37, e-1,2 = 0,30, e-1,5 = 0,22, e-2 = 0,14.
Provas
Questão presente nas seguintes provas
Em um departamento de um órgão público existem 80 funcionários. Desse total, 40 são analistas financeiros, 20 são analistas jurídicos e 20 são técnicos jurídicos. Dentre esses 80 será selecionada uma amostra aleatória de 4 para formar uma comissão. O número de amostras estratificadas, com alocação proporcional à função exercida, que poder-se-ia realizar é igual a
Provas
Questão presente nas seguintes provas
Para responder às questões use, dentre as informações dadas abaixo, as que julgar apropriadas.
Se Z tem distribuição normal padrão, então:
P(Z < 0,25) = 0,599,   P(Z < 0,80) = 0,84, P(Z < 1) = 0,841, P(Z < 1,96) = 0,975, P(Z < 3,09) = 0,999
O tempo de vida dos motores de automóveis de certo tipo fabricados pela Indústria A pode ser considerado uma variável aleatória com distribuição normal com média 250.000 km e desvio padrão de 20.000 km. Suponha que a fábrica A estabeleça uma garantia de x (km) e se propõe a substituir todo motor que tenha tempo de vida inferior a x. O valor de x, em km, para que a porcentagem de motores substituídos seja, no máximo, de 0,1% é igual aSe Z tem distribuição normal padrão, então:
P(Z < 0,25) = 0,599,   P(Z < 0,80) = 0,84, P(Z < 1) = 0,841, P(Z < 1,96) = 0,975, P(Z < 3,09) = 0,999
Provas
Questão presente nas seguintes provas
Três grupos, com 10 operários cada um, são formados para realizar uma experiência. Em cada grupo, os operários foram selecionados aleatoriamente de 3 grandes fábricas, respectivamente. Cada operário produz uma determinada peça e anota o tempo que levou para produzí-la. Deseja-se testar a hipótese de igualdade dos tempos médios dos grupos, supondo que trabalham independentemente, a um determinado nível de significância. Pelo quadro de análise de variância, obteve-se o valor da estatística F (F calculado) igual a 4,5, para posteriormente ser comparado com o F tabelado (variável F de Snedecor). Dado que no respectivo quadro a “variação total” é igual a 432, tem-se que a “variação entre grupos” é igual a
Provas
Questão presente nas seguintes provas
Para responder às questões use, dentre as informações dadas abaixo, as que julgar apropriadas.
Se e é a base dos logaritmos naturais, tem-se
e-1 = 0,37, e-1,2 = 0,30, e-1,5 = 0,22, e-2 = 0,14.
Considere que a variável aleatória X tem distribuição de Poisson com média µ. Sabe-se que a variável aleatória Y tem distribuição uniforme contínua no intervalo [ -a, 2a ], onde a é um número real positivo, tem também média µ e variância igual a 3. Nessas condições, a probabilidade de X ser pelo menos 2 é igual aSe e é a base dos logaritmos naturais, tem-se
e-1 = 0,37, e-1,2 = 0,30, e-1,5 = 0,22, e-2 = 0,14.
Provas
Questão presente nas seguintes provas
De um grupo de 12 analistas e 9 técnicos que trabalham em uma seção de determinado tribunal, quatro serão escolhidos para formar uma comissão. A probabilidade dessa comissão ser formada por apenas um técnico é igual a
Provas
Questão presente nas seguintes provas
Considere as afirmações abaixo relativas à Análise Multivariada.
I. A análise de correspondência permite estudar associação entre variáveis qualitativas.
II. Na análise discriminante a variável dependente deve ser métrica.
III. Na análise de regressão múltipla uma forma de identificar colinearidade entre as variáveis independentes é examinar as correlações entre essas variáveis.
IV. Na análise de conglomerados, as técnicas hierárquicas exigem que o usuário identifique previamente o número de grupos desejado, mas essa exigência não prevalece nas técnicas não hierárquicas.
Está correto o que se afirma APENAS em
I. A análise de correspondência permite estudar associação entre variáveis qualitativas.
II. Na análise discriminante a variável dependente deve ser métrica.
III. Na análise de regressão múltipla uma forma de identificar colinearidade entre as variáveis independentes é examinar as correlações entre essas variáveis.
IV. Na análise de conglomerados, as técnicas hierárquicas exigem que o usuário identifique previamente o número de grupos desejado, mas essa exigência não prevalece nas técnicas não hierárquicas.
Está correto o que se afirma APENAS em
Provas
Questão presente nas seguintes provas
Para responder às questões use, dentre as informações dadas abaixo, as que julgar apropriadas.
Se Z tem distribuição normal padrão, então:
P(Z < 0,25) = 0,599,   P(Z < 0,80) = 0,84, P(Z < 1) = 0,841, P(Z < 1,96) = 0,975, P(Z < 3,09) = 0,999
Considere X1, X2, ...Xn uma amostra aleatória simples, com reposição, da distribuição da variável X, que tem distribuição normal com média µ e variância 36. Seja X a média amostral dessa amostra. O valor de n para que a distância entre X e µ seja, no máximo, igual a 0,49, com probabilidade de 95% é igual aSe Z tem distribuição normal padrão, então:
P(Z < 0,25) = 0,599,   P(Z < 0,80) = 0,84, P(Z < 1) = 0,841, P(Z < 1,96) = 0,975, P(Z < 3,09) = 0,999
Provas
Questão presente nas seguintes provas
A classe de estimadores não viesados E = 2(m - 1)X - (m - 1)Y + nZ , sendo m e n parâmetros reais, é utilizada para estimar a média µ de uma população normal com variância unitária. Sabe-se que (X, Y, Z) é uma amostra aleatória extraída, com reposição, desta população. A variância do estimador mais eficiente, entre os estimadores desta classe, verifica-se para m igual a
Provas
Questão presente nas seguintes provas
Para responder às questões use, dentre as informações dadas abaixo, as que julgar apropriadas.
Se Z tem distribuição normal padrão, então:
P(Z < 0,25) = 0,599,   P(Z < 0,80) = 0,84, P(Z < 1) = 0,841, P(Z < 1,96) = 0,975, P(Z < 3,09) = 0,999
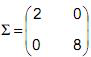
Considere Se Z tem distribuição normal padrão, então:
P(Z < 0,25) = 0,599,   P(Z < 0,80) = 0,84, P(Z < 1) = 0,841, P(Z < 1,96) = 0,975, P(Z < 3,09) = 0,999
uma variável aleatória com distribuição normal multivariada com vetor de médias
e matriz de covariâncias
. Seja a variável aleatória U = 2X - Y. A probabilidade de U assumir um valor entre 2 e 5, denotada por P(2 < U < 5) é igual aProvas
Questão presente nas seguintes provas
Cadernos
Caderno Container