Foram encontradas 516 questões.
- Estatística InferencialVariáveis AleatóriasVariável Aleatória Contínua
- ProbabilidadesFunção Geratriz de Momentos
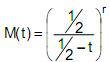
A função geratriz de momentos da variável aleatória contínua X é dada por
, para t < ½ e onde r é parâmetro de X.
O valor de r para que X tenha distribuição qui-quadrado com 12 graus de liberdade é dado por
, para t < ½ e onde r é parâmetro de X. O valor de r para que X tenha distribuição qui-quadrado com 12 graus de liberdade é dado por
Provas
Questão presente nas seguintes provas
- Estatística InferencialFunções Densidade de Probabilidade
- Estatística InferencialVariáveis AleatóriasVariável Aleatória Contínua
- Probabilidades
Seja (X, Y) uma variável aleatória bidimensional contínua com função densidade de probabilidade dada por:

Nessas condições, a esperança condicional de Y dado x, denotada por
é igual a

Nessas condições, a esperança condicional de Y dado x, denotada por
é igual aProvas
Questão presente nas seguintes provas
Para o modelo ARIMA(1,0,1), cujo parâmetro autorregressivo é f e cujo parâmetro de média móveis é
, considere:
I. A região de admissibilidade do modelo é
.
II. Sua função de autocorrelação, dada por f(k), k = 1,2, ... decai exponencialmente após k = 1.
III. Sua função de autocorrelação parcial, dada por g(k), k = 1,2,..., só é diferente de zero para k = 1.
IV. Se
= 0,
= 0,5 e a média do modelo é 2, a previsão de origem t e horizonte 1 é igual a 1.
Está correto o que se afirma APENAS em
, considere:I. A região de admissibilidade do modelo é
. II. Sua função de autocorrelação, dada por f(k), k = 1,2, ... decai exponencialmente após k = 1.
III. Sua função de autocorrelação parcial, dada por g(k), k = 1,2,..., só é diferente de zero para k = 1.
IV. Se
= 0,
= 0,5 e a média do modelo é 2, a previsão de origem t e horizonte 1 é igual a 1. Está correto o que se afirma APENAS em
Provas
Questão presente nas seguintes provas
Um grupo de 400 funcionários de um tribunal apresenta, de acordo com o sexo e a qualificação profissional, a seguinte composição:

Quatro funcionários, dentre esses 400, serão selecionados ao acaso e com reposição. A probabilidade de que, nessa seleção, exatamente dois sejam homens e analistas é igual a
Provas
Questão presente nas seguintes provas
Um grupo de 400 funcionários de um tribunal apresenta, de acordo com o sexo e a qualificação profissional, a seguinte composição:

Um funcionário será selecionado ao acaso desse grupo. A probabilidade dele ser mulher ou técnico é igual a
Provas
Questão presente nas seguintes provas
Seja um modelo de regressão linear múltipla, com intercepto, envolvendo uma variável dependente e 2 variáveis explicativas. As estimativas dos respectivos parâmetros foram obtidas pelo método dos mínimos quadrados com base em 18 observações. O coeficiente de explicação (R2), definido como sendo o resultado da divisão da variação explicada pela variação total, apresentou um valor igual a 76%. Dado que a variação explicada é igual a 95, obtém-se que a estimativa da variância do modelo teórico (
2) é igual a
2) é igual aProvas
Questão presente nas seguintes provas
Uma empresa decide utilizar o modelo linear Yt =
+ ßt +
, t = 1, 2, 3 ... para prever o volume de vendas (Yt ), em milhões de reais, no ano (2002 + t). Os parâmetros
e ß são desconhecidos e et corresponde ao erro aleatório com as respectivas hipóteses do modelo de regressão linear simples. Com base nas informações de 2003 até 2012 e utilizando o método dos mínimos quadrados obteve-se as estimativas de
e ß. Observação:
e
correspondem às médias de t e Y no período considerado e seus valores são 5,5 e 20, respectivamente.

Para testar a existência da regressão por meio do teste t de Student, considerando as hipóteses H0 : ß = 0 (hipótese nula) e H1 : ß
+ ßt +
, t = 1, 2, 3 ... para prever o volume de vendas (Yt ), em milhões de reais, no ano (2002 + t). Os parâmetros
e ß são desconhecidos e et corresponde ao erro aleatório com as respectivas hipóteses do modelo de regressão linear simples. Com base nas informações de 2003 até 2012 e utilizando o método dos mínimos quadrados obteve-se as estimativas de
e ß. Observação:
e
correspondem às médias de t e Y no período considerado e seus valores são 5,5 e 20, respectivamente. 
0 (hipótese alternativa), obtém-se que o correspondente valor da estatística t (t calculado), para ser comparado com o respectivo t tabelado, pertence ao intervaloProvas
Questão presente nas seguintes provas
Em um levantamento realizado em uma grande empresa com 400 de seus empregados, escolhidos aleatoriamente, obteve-se a seguinte tabela com relação à preferência por 4 candidatos X, Y, Z e T para presidente do sindicato.

Deseja-se testar com base nesta tabela, utilizando o teste qui-quadrado, as seguintes hipóteses:
H0: não há discrepância entre as frequências observadas e esperadas (hipótese nula).
H1: as frequências observadas e esperadas são discrepantes (hipótese alternativa).

Uma conclusão correta é que

Deseja-se testar com base nesta tabela, utilizando o teste qui-quadrado, as seguintes hipóteses:
H0: não há discrepância entre as frequências observadas e esperadas (hipótese nula).
H1: as frequências observadas e esperadas são discrepantes (hipótese alternativa).

Uma conclusão correta é que
Provas
Questão presente nas seguintes provas
Em uma empresa foram selecionados aleatoriamente 256 empregados que se submeteram a um treinamento durante 30 dias. Verificando que x empregados apresentaram melhora no desempenho após o treinamento, decidiu-se utilizar o teste do sinal, atribuindo x sinais positivos para os empregados que melhoraram e (256 - x) sinais negativos para os restantes. Aplicando então o teste do sinal para decidir se a proporção populacional de sinais positivos (p) é igual a 50%, a um nível de significância de 5%, foram formuladas as hipóteses H0 : p = 50% (hipótese nula) contra H1 : p
50% (hipótese alternativa). Com a aproximação da distribuição binomial pela normal, sem a correção de continuidade, foi apurado o valor do escore reduzido r correspondente para comparação com o valor crítico z da distribuição normal padrão Z tal que a probabilidade
.Se r = 2,5, então x é igual a
50% (hipótese alternativa). Com a aproximação da distribuição binomial pela normal, sem a correção de continuidade, foi apurado o valor do escore reduzido r correspondente para comparação com o valor crítico z da distribuição normal padrão Z tal que a probabilidade
.Se r = 2,5, então x é igual aProvas
Questão presente nas seguintes provas
Uma população, considerada de tamanho infinito, apresenta uma distribuição normal com média µ e uma variância populacional igual a 576. Com base em uma amostra aleatória de tamanho 100 extraída desta população, obteve-se um intervalo de confiança para µ igual a [194,48 ; 205,52], com um nível de confiança de (1 -
). Considerando uma outra amostra aleatória desta população, independente da primeira, de tamanho 144 obteve-se um novo intervalo de confiança para µ com um nível de confiança (1 -
). A amplitude deste novo intervalo é igual a
). Considerando uma outra amostra aleatória desta população, independente da primeira, de tamanho 144 obteve-se um novo intervalo de confiança para µ com um nível de confiança (1 -
). A amplitude deste novo intervalo é igual aProvas
Questão presente nas seguintes provas
Cadernos
Caderno Container