Foram encontradas 951 questões.
Considere um conjunto de variáveis aleatórias
representa o tempo gasto
pelo k-ésimo oficial de justiça para o cumprimento de um
mandado judicial. Essas variáveis aleatórias são independentes e
identicamente distribuídas, segundo uma distribuição normal com
média m e desvio padrão d, ambos desconhecidos.
A partir dessas informações, julgue os itens de 69 a 76,
considerando que
represente a média amostral desse conjunto
de variáveis aleatórias.
O desvio médio absoluto, definido por
representa o tempo gastopelo k-ésimo oficial de justiça para o cumprimento de um
mandado judicial. Essas variáveis aleatórias são independentes e
identicamente distribuídas, segundo uma distribuição normal com
média m e desvio padrão d, ambos desconhecidos.
A partir dessas informações, julgue os itens de 69 a 76,
considerando que
represente a média amostral desse conjuntode variáveis aleatórias.
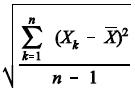
, é uma estatística não-tendenciosa para o desvio padrão d.Provas
Questão presente nas seguintes provas
Considere um conjunto de variáveis aleatórias
representa o tempo gasto
pelo k-ésimo oficial de justiça para o cumprimento de um
mandado judicial. Essas variáveis aleatórias são independentes e
identicamente distribuídas, segundo uma distribuição normal com
média m e desvio padrão d, ambos desconhecidos.
A partir dessas informações, julgue os itens de 69 a 76,
considerando que
represente a média amostral desse conjunto
de variáveis aleatórias.
A função
representa o tempo gastopelo k-ésimo oficial de justiça para o cumprimento de um
mandado judicial. Essas variáveis aleatórias são independentes e
identicamente distribuídas, segundo uma distribuição normal com
média m e desvio padrão d, ambos desconhecidos.
A partir dessas informações, julgue os itens de 69 a 76,
considerando que
represente a média amostral desse conjuntode variáveis aleatórias.
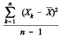
é um estimador tendencioso para o desvio padrão d.Provas
Questão presente nas seguintes provas
Considere um conjunto de variáveis aleatórias
representa o tempo gasto
pelo k-ésimo oficial de justiça para o cumprimento de um
mandado judicial. Essas variáveis aleatórias são independentes e
identicamente distribuídas, segundo uma distribuição normal com
média m e desvio padrão d, ambos desconhecidos.
A partir dessas informações, julgue os itens de 69 a 76,
considerando que
represente a média amostral desse conjunto
de variáveis aleatórias.
A soma
representa o tempo gastopelo k-ésimo oficial de justiça para o cumprimento de um
mandado judicial. Essas variáveis aleatórias são independentes e
identicamente distribuídas, segundo uma distribuição normal com
média m e desvio padrão d, ambos desconhecidos.
A partir dessas informações, julgue os itens de 69 a 76,
considerando que
represente a média amostral desse conjuntode variáveis aleatórias.
é uma estatística suficiente e completa para a estimação dos parâmetros m e d.Provas
Questão presente nas seguintes provas
Considere um conjunto de variáveis aleatórias
representa o tempo gasto
pelo k-ésimo oficial de justiça para o cumprimento de um
mandado judicial. Essas variáveis aleatórias são independentes e
identicamente distribuídas, segundo uma distribuição normal com
média m e desvio padrão d, ambos desconhecidos.
A partir dessas informações, julgue os itens de 69 a 76,
considerando que
represente a média amostral desse conjunto
de variáveis aleatórias.
A estatística
representa o tempo gastopelo k-ésimo oficial de justiça para o cumprimento de um
mandado judicial. Essas variáveis aleatórias são independentes e
identicamente distribuídas, segundo uma distribuição normal com
média m e desvio padrão d, ambos desconhecidos.
A partir dessas informações, julgue os itens de 69 a 76,
considerando que
represente a média amostral desse conjuntode variáveis aleatórias.
é o estimador de máxima verossimilhança para d
.Provas
Questão presente nas seguintes provas
Considere um conjunto de variáveis aleatórias
representa o tempo gasto
pelo k-ésimo oficial de justiça para o cumprimento de um
mandado judicial. Essas variáveis aleatórias são independentes e
identicamente distribuídas, segundo uma distribuição normal com
média m e desvio padrão d, ambos desconhecidos.
A partir dessas informações, julgue os itens de 69 a 76,
considerando que
represente a média amostral desse conjunto
de variáveis aleatórias.
Assintoticamente, a distribuição da mediana amostral é normal, com média m e desvio padrão maior que
representa o tempo gastopelo k-ésimo oficial de justiça para o cumprimento de um
mandado judicial. Essas variáveis aleatórias são independentes e
identicamente distribuídas, segundo uma distribuição normal com
média m e desvio padrão d, ambos desconhecidos.
A partir dessas informações, julgue os itens de 69 a 76,
considerando que
represente a média amostral desse conjuntode variáveis aleatórias.

Provas
Questão presente nas seguintes provas
Uma empresa de consultoria realizou um levantamento
para testar a hipótese nula
: r = 0,1 contra a hipótese alternativa
H1: r
0,1, em que r representa a proporção de desistências em
ações judiciais. De uma amostra aleatória simples de 100 casos,
foram encontradas desistências em 17 casos.
Considerando essa situação, julgue os itens seguintes assumindo
que
(2,6) = 0,995, em que
(z) representa a função de
distribuição acumulada da distribuição normal padrão.
Com a correção de continuidade, a estimativa intervalar assintótica para a proporção r, com 99% de confiança, é 0,170 ± 0,078.para testar a hipótese nula
: r = 0,1 contra a hipótese alternativaH1: r
0,1, em que r representa a proporção de desistências emações judiciais. De uma amostra aleatória simples de 100 casos,
foram encontradas desistências em 17 casos.
Considerando essa situação, julgue os itens seguintes assumindo
que
(2,6) = 0,995, em que
(z) representa a função dedistribuição acumulada da distribuição normal padrão.
Provas
Questão presente nas seguintes provas
Uma empresa de consultoria realizou um levantamento
para testar a hipótese nula
: r = 0,1 contra a hipótese alternativa
H1: r
0,1, em que r representa a proporção de desistências em
ações judiciais. De uma amostra aleatória simples de 100 casos,
foram encontradas desistências em 17 casos.
Considerando essa situação, julgue os itens seguintes assumindo
que
(2,6) = 0,995, em que
(z) representa a função de
distribuição acumulada da distribuição normal padrão.
Efetuando-se o teste qui-quadrado de aderência à distribuição de Bernoulli, a hipótese nula não é rejeitada se o nível de significância for igual a 0,5%.para testar a hipótese nula
: r = 0,1 contra a hipótese alternativaH1: r
0,1, em que r representa a proporção de desistências emações judiciais. De uma amostra aleatória simples de 100 casos,
foram encontradas desistências em 17 casos.
Considerando essa situação, julgue os itens seguintes assumindo
que
(2,6) = 0,995, em que
(z) representa a função dedistribuição acumulada da distribuição normal padrão.
Provas
Questão presente nas seguintes provas
Uma empresa de consultoria realizou um levantamento
para testar a hipótese nula
: r = 0,1 contra a hipótese alternativa
H1: r
0,1, em que r representa a proporção de desistências em
ações judiciais. De uma amostra aleatória simples de 100 casos,
foram encontradas desistências em 17 casos.
Considerando essa situação, julgue os itens seguintes assumindo
que
(2,6) = 0,995, em que
(z) representa a função de
distribuição acumulada da distribuição normal padrão.
O valor da estatística do teste de Wald é inferior apara testar a hipótese nula
: r = 0,1 contra a hipótese alternativaH1: r
0,1, em que r representa a proporção de desistências emações judiciais. De uma amostra aleatória simples de 100 casos,
foram encontradas desistências em 17 casos.
Considerando essa situação, julgue os itens seguintes assumindo
que
(2,6) = 0,995, em que
(z) representa a função dedistribuição acumulada da distribuição normal padrão.

Provas
Questão presente nas seguintes provas
Uma companhia necessita constituir provisões
financeiras para despesas decorrentes de processos judiciais por
reclamações trabalhistas. Considere que o total anual dessas
despesas seja igual a X, em que X segue uma distribuição normal
com média igual a R$ 30 mil e desvio padrão, R$ 10 mil.
Tendo como referência essa situação, julgue os itens a seguir,
assumindo que
(2) = 0,977, em que
(z) representa a função de
distribuição acumulada da distribuição normal padrão.
Considere que as realizações de X sejam independentes ao longo dos anos e que o montante a ser provisionado para 2014 seja igual à média aritmética M dos valores a serem reservados nos 4 anos anteriores, 2010 a 2013. Nessa situação, para 2014, a probabilidade de que o valor de X seja maior que M é igual a 0,5.financeiras para despesas decorrentes de processos judiciais por
reclamações trabalhistas. Considere que o total anual dessas
despesas seja igual a X, em que X segue uma distribuição normal
com média igual a R$ 30 mil e desvio padrão, R$ 10 mil.
Tendo como referência essa situação, julgue os itens a seguir,
assumindo que
(2) = 0,977, em que
(z) representa a função dedistribuição acumulada da distribuição normal padrão.
Provas
Questão presente nas seguintes provas
Uma companhia necessita constituir provisões
financeiras para despesas decorrentes de processos judiciais por
reclamações trabalhistas. Considere que o total anual dessas
despesas seja igual a X, em que X segue uma distribuição normal
com média igual a R$ 30 mil e desvio padrão, R$ 10 mil.
Tendo como referência essa situação, julgue os itens a seguir,
assumindo que
(2) = 0,977, em que
(z) representa a função de
distribuição acumulada da distribuição normal padrão.
Com 95,4% de confiança, é correto afirmar que, para o próximo ano, o total das despesas mencionadas está entre R$ 10 mil e R$ 50 mil.financeiras para despesas decorrentes de processos judiciais por
reclamações trabalhistas. Considere que o total anual dessas
despesas seja igual a X, em que X segue uma distribuição normal
com média igual a R$ 30 mil e desvio padrão, R$ 10 mil.
Tendo como referência essa situação, julgue os itens a seguir,
assumindo que
(2) = 0,977, em que
(z) representa a função dedistribuição acumulada da distribuição normal padrão.
Provas
Questão presente nas seguintes provas
Cadernos
Caderno Container