Foram encontradas 951 questões.
No estacionamento de um tribunal, há uma única vaga
exclusiva para veículos conduzidos por pessoas portadoras de
necessidades especiais. Esses veículos chegam ao estacionamento
segundo um processo de Poisson, com taxa igual a 2 veículos por
dia. Enquanto essa vaga estiver ocupada por um veículo, os
outros veículos conduzidos por pessoas portadoras de
necessidades especiais que chegarem ao local estacionarão em
outras vagas. O tempo médio de ocupação da vaga é igual a
0,6/dia.
Considerando essa situação hipotética, julgue os itens
subsequentes, assumindo que exp(1) = 2,72.
Se, em determinado instante, a vaga estiver desocupada, então a probabilidade de ela continuar desocupada por mais meio dia é inferior a 0,3.exclusiva para veículos conduzidos por pessoas portadoras de
necessidades especiais. Esses veículos chegam ao estacionamento
segundo um processo de Poisson, com taxa igual a 2 veículos por
dia. Enquanto essa vaga estiver ocupada por um veículo, os
outros veículos conduzidos por pessoas portadoras de
necessidades especiais que chegarem ao local estacionarão em
outras vagas. O tempo médio de ocupação da vaga é igual a
0,6/dia.
Considerando essa situação hipotética, julgue os itens
subsequentes, assumindo que exp(1) = 2,72.
Provas
Questão presente nas seguintes provas
Um estudo foi realizado para avaliar se a hérnia de disco
é uma doença ocupacional em motoristas profissionais de
transporte rodoviário de carga. Para esse estudo, foram
considerados certos pacientes com idade entre 30 a 50 anos, de
um grande hospital público, formando-se dois grupos: o grupo
dos casos, formado pelos pacientes que tinham hérnia de disco;
e o grupo de controle, formado por aqueles que não tinham hérnia
de disco. Em seguida, foram identificados aqueles que eram
motoristas profissionais. Os resultados estão apresentados na
tabela a seguir.

Considerando essa situação hipotética, julgue os itens seguintes.
O valor da estatística é uma doença ocupacional em motoristas profissionais de
transporte rodoviário de carga. Para esse estudo, foram
considerados certos pacientes com idade entre 30 a 50 anos, de
um grande hospital público, formando-se dois grupos: o grupo
dos casos, formado pelos pacientes que tinham hérnia de disco;
e o grupo de controle, formado por aqueles que não tinham hérnia
de disco. Em seguida, foram identificados aqueles que eram
motoristas profissionais. Os resultados estão apresentados na
tabela a seguir.

Considerando essa situação hipotética, julgue os itens seguintes.
de Stuart é maior que 0,05.Provas
Questão presente nas seguintes provas
- Estatística DescritivaMedidas de Dispersão
- Estatística InferencialEstimadoresEstimadores de Máxima Verossimilhança
Considere que Y seja uma variável aleatória de Bernoulli
com parâmetro p, em que p é a probabilidade de uma ação
judicial trabalhista ser julgada improcedente. De uma amostra
aleatória simples de 1.600 ações judiciais trabalhistas, uma
seguradora observou que, em média, 20% dessas ações foram
julgadas improcedentes.
Com base nessa situação hipotética, julgue os próximos itens.
A estimativa de máxima verossimilhança para o desvio padrão de Y é inferior a 0,3.com parâmetro p, em que p é a probabilidade de uma ação
judicial trabalhista ser julgada improcedente. De uma amostra
aleatória simples de 1.600 ações judiciais trabalhistas, uma
seguradora observou que, em média, 20% dessas ações foram
julgadas improcedentes.
Com base nessa situação hipotética, julgue os próximos itens.
Provas
Questão presente nas seguintes provas
Um estudo foi realizado para avaliar se a hérnia de disco
é uma doença ocupacional em motoristas profissionais de
transporte rodoviário de carga. Para esse estudo, foram
considerados certos pacientes com idade entre 30 a 50 anos, de
um grande hospital público, formando-se dois grupos: o grupo
dos casos, formado pelos pacientes que tinham hérnia de disco;
e o grupo de controle, formado por aqueles que não tinham hérnia
de disco. Em seguida, foram identificados aqueles que eram
motoristas profissionais. Os resultados estão apresentados na
tabela a seguir.

Considerando essa situação hipotética, julgue os itens seguintes.
O coeficiente de contingência é maior que 0,05.é uma doença ocupacional em motoristas profissionais de
transporte rodoviário de carga. Para esse estudo, foram
considerados certos pacientes com idade entre 30 a 50 anos, de
um grande hospital público, formando-se dois grupos: o grupo
dos casos, formado pelos pacientes que tinham hérnia de disco;
e o grupo de controle, formado por aqueles que não tinham hérnia
de disco. Em seguida, foram identificados aqueles que eram
motoristas profissionais. Os resultados estão apresentados na
tabela a seguir.

Considerando essa situação hipotética, julgue os itens seguintes.
Provas
Questão presente nas seguintes provas
Um estudo foi realizado para avaliar se a hérnia de disco
é uma doença ocupacional em motoristas profissionais de
transporte rodoviário de carga. Para esse estudo, foram
considerados certos pacientes com idade entre 30 a 50 anos, de
um grande hospital público, formando-se dois grupos: o grupo
dos casos, formado pelos pacientes que tinham hérnia de disco;
e o grupo de controle, formado por aqueles que não tinham hérnia
de disco. Em seguida, foram identificados aqueles que eram
motoristas profissionais. Os resultados estão apresentados na
tabela a seguir.

Considerando essa situação hipotética, julgue os itens seguintes.
O coeficiente V de Cramer é maior que 0,5.é uma doença ocupacional em motoristas profissionais de
transporte rodoviário de carga. Para esse estudo, foram
considerados certos pacientes com idade entre 30 a 50 anos, de
um grande hospital público, formando-se dois grupos: o grupo
dos casos, formado pelos pacientes que tinham hérnia de disco;
e o grupo de controle, formado por aqueles que não tinham hérnia
de disco. Em seguida, foram identificados aqueles que eram
motoristas profissionais. Os resultados estão apresentados na
tabela a seguir.

Considerando essa situação hipotética, julgue os itens seguintes.
Provas
Questão presente nas seguintes provas
Um estudo foi realizado para avaliar se a hérnia de disco
é uma doença ocupacional em motoristas profissionais de
transporte rodoviário de carga. Para esse estudo, foram
considerados certos pacientes com idade entre 30 a 50 anos, de
um grande hospital público, formando-se dois grupos: o grupo
dos casos, formado pelos pacientes que tinham hérnia de disco;
e o grupo de controle, formado por aqueles que não tinham hérnia
de disco. Em seguida, foram identificados aqueles que eram
motoristas profissionais. Os resultados estão apresentados na
tabela a seguir.

Considerando essa situação hipotética, julgue os itens seguintes.
O risco relativo é inferior a 1,5.é uma doença ocupacional em motoristas profissionais de
transporte rodoviário de carga. Para esse estudo, foram
considerados certos pacientes com idade entre 30 a 50 anos, de
um grande hospital público, formando-se dois grupos: o grupo
dos casos, formado pelos pacientes que tinham hérnia de disco;
e o grupo de controle, formado por aqueles que não tinham hérnia
de disco. Em seguida, foram identificados aqueles que eram
motoristas profissionais. Os resultados estão apresentados na
tabela a seguir.

Considerando essa situação hipotética, julgue os itens seguintes.
Provas
Questão presente nas seguintes provas
Um estudo foi realizado para avaliar se a hérnia de disco
é uma doença ocupacional em motoristas profissionais de
transporte rodoviário de carga. Para esse estudo, foram
considerados certos pacientes com idade entre 30 a 50 anos, de
um grande hospital público, formando-se dois grupos: o grupo
dos casos, formado pelos pacientes que tinham hérnia de disco;
e o grupo de controle, formado por aqueles que não tinham hérnia
de disco. Em seguida, foram identificados aqueles que eram
motoristas profissionais. Os resultados estão apresentados na
tabela a seguir.

Considerando essa situação hipotética, julgue os itens seguintes.
O erro padrão da estimativa da razão de chances é maior que 0,6.é uma doença ocupacional em motoristas profissionais de
transporte rodoviário de carga. Para esse estudo, foram
considerados certos pacientes com idade entre 30 a 50 anos, de
um grande hospital público, formando-se dois grupos: o grupo
dos casos, formado pelos pacientes que tinham hérnia de disco;
e o grupo de controle, formado por aqueles que não tinham hérnia
de disco. Em seguida, foram identificados aqueles que eram
motoristas profissionais. Os resultados estão apresentados na
tabela a seguir.

Considerando essa situação hipotética, julgue os itens seguintes.
Provas
Questão presente nas seguintes provas
O modelo
com uma constante tem a forma
, em que D é o operador de atraso,
são os coeficientes da parte de médias móveis do modelo e a representa o ruído branco.
com uma constante tem a forma
, em que D é o operador de atraso,
são os coeficientes da parte de médias móveis do modelo e a representa o ruído branco.Provas
Questão presente nas seguintes provas
- Distribuições de ProbabilidadeDistribuições ContínuasNormal
- Estatística DescritivaMedidas de Dispersão
- Estatística DescritivaMedidas de Tendência Central
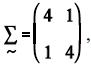
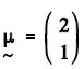
Considerando uma distribuição normal bivariada
com vetor de médias
e matriz de covariâncias
julgue os próximos itens.
A soma
com vetor de médias
e matriz de covariâncias
julgue os próximos itens.
segue uma distribuição normal, com média 3 e variância igual ou menor que 9.Provas
Questão presente nas seguintes provas
Considerando que uma série temporal
, em que
t = 1, ..., n, e
representa o número de processos judiciais
julgados por um tribunal no mês t, segue um processo
SARIMA(0, 0, 0) × (0, 0, 1)
com uma constante, julgue os itens
subsequentes.
A autocorrelação entre
, em quet = 1, ..., n, e
representa o número de processos judiciaisjulgados por um tribunal no mês t, segue um processo
SARIMA(0, 0, 0) × (0, 0, 1)
com uma constante, julgue os itenssubsequentes.
em que
, é igual a zero.Provas
Questão presente nas seguintes provas
Cadernos
Caderno Container