Foram encontradas 60 questões.
I. Objetiva mapear as competências necessárias para a organização, identificar as competências já disponíveis e gerenciar, com vistas a eliminar, as lacunas ou gaps identificados.
II. Possui foco no aprendizado e aprimoramento constante do empregado, realizando, como etapa vinculada à remuneração por resultados, o mapeamento das competências adquiridas.
III. Aplica-se, também, às ações de recrutamento e seleção de pessoal, como forma de minimizar as lacunas de competência identificadas na organização.
Está correto o que consta APENAS em
Provas
Provas
Em 3 empresas M, N, e P são extraídas, independentemente, amostras aleatórias entre seus empregados de tamanho 50 em M, 200 em N e 250 em P. Foi perguntado a todos qual, entre 3 planos de carreira propostos, eles preferem e cada um deu somente uma resposta. O resultado pode ser observado pela tabela abaixo.
Deseja-se saber se a preferência pelo plano de carreira depende da empresa, utilizando o teste qui-quadrado, a um determinado nível de significância α, desconsiderando a correção de Yates e obtendo as respectivas frequências esperadas pela tabela sem que tenha de estimar quaisquer parâmetros populacionais por meio de estatísticas amostrais.
Dados: valores críticos da distribuição qui-quadrado [P(qui-quadrado com n graus de liberdade < valor tabelado) = (1-α)]

É correto afirmar que
Provas

Utilizando o teste t de Student para testar a existência da regressão a um determinado nível de significância, em que foram formuladas as hipóteses H0: ß = 0 (hipótese nula) e H1: ß ≠ 0 (hipótese alternativa), obtém-se que o valor do t calculado para ser comparado com o t tabelado, levando em conta os respectivos graus de liberdade, é
Provas
= 0,25 + 0,04t, em que
, permite estimar a probabilidade (p) do acontecimento de um evento em um determinado dia em função do tempo (t) diário, em minutos, em que este evento é divulgado no dia. Se o evento é divulgado em um dia durante 10 minutos, então a probabilidade estimada de seu acontecimento neste dia é Observação: ln é o logaritmo neperiano, tal que ln (e) = 1, e os parâmetros da equação foram obtidos pelo método dos mínimos quadrados com base em informações passadas.
Provas
- AmostragemTipos de AmostragemAmostragem aleatória simples
- Distribuições de ProbabilidadeDistribuições ContínuasStudent

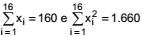
Observação: Xi é o i-ésimo elemento da amostra.
Dados:
n 14 15 16 17 18
t0,025 2,14 2,13 2,12 2,11 2,10
Considerando t0,025 o quantil da distribuição t de Student para o teste unicaudal tal que a probabilidade P(t > t0,025) = 0,025 com n graus de liberdade, tem-se, com base na amostra, um intervalo de confiança de 95% para µ igual a
Provas
- FundamentosAnálise de Tabelas e GráficosGráfico de Colunas ou Barras Justapostas
- Estatística DescritivaMedidas de Tendência CentralQuartil, Decil e Percentil

De acordo com o desenho esquemático apresentado, é correto afirmar que
Provas
CLASSE DE SALÁRIOS (R$) FREQUÊNCIAS ABSOLUTAS
2.000
4.000 f1 4.000
6.000 f2 6.000
8.000 f3 8.000
10.000 f 4 10.000
12.000 f 5 12.000
14.000 f6 TOTAL 80
Observação: 60f1 = 15f2 = 12f3 = 20f4 = 30f5 = 60f6
O valor da média aritmética dos salários foi obtido considerando que todos os valores incluídos em um certo intervalo de classe são coincidentes com o ponto médio deste intervalo. O valor da mediana foi obtido pelo método da interpolação linear. A porcentagem que o valor da mediana representa do valor da média aritmética dos salários é, em %, igual a
Provas
o vetor de variáveis aleatórias, onde LA e LI representam, respectivamente, os lucros mensais das letras LCA e LCI. Suponha que LA tem distribuição normal com média 80MR e desvio padrão 3MR; que LI tem distribuição normal com média 70MR e desvio padrão de 8MR e que essas duas variáveis são independentes. Nessas condições, a probabilidade do lucro mensal de tal investimento ser um valor no intervalo (233MR ; 242MR) é igual a
Provas
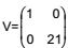
tem distribuição normal bivariada com vetor de médias
e matriz de covariâncias
. Uma amostra aleatória [( X1 , Y1 , ....( Xn , Yn )], simples, com reposição de tamanho n é selecionada da distribuição de P.Considere a variável aleatória
, onde
,são as respectivas médias amostrais de X e Y. Nessas condições se
, o valor de n éProvas
Caderno Container