Foram encontradas 856 questões.

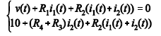
A figura acima mostra um circuito elétrico, em que são indicados as resistências de todos os resistores, a tensão de excitação v(t), o potencial e1(t) no nó central e as correntes i1(t) e i2(t). Considerando que todos os componentes desse circuito sejam ideais, julgue os itens que se seguem.
A partir das equações abaixo, é possível calcular corretamente as correntes i1(t) e i2(t).

Provas
Em meios eletrônicos, em relação ao uso do termo fonte, julgue os itens que se seguem.
O rápido desenvolvimento das ferramentas digitais, em especial de publicação eletrônica (desktop publishing), abriu espaço para a expansão desse termo e criação de novas fontes.
Provas
Em meios eletrônicos, em relação ao uso do termo fonte, julgue os itens que se seguem.
Esse termo, mesmo no jornalismo eletrônico, é de uso restrito ao indivíduo que emite a informação.
Provas
Em meios eletrônicos, em relação ao uso do termo fonte, julgue os itens que se seguem.
Esse termo corresponde a um arquivo digital de onde emanam instruções para se produzir um caractere específico.
Provas
Alguns autores advogam que existe uma relação simbólica entre jornalismo e democracia. A democracia sem uma imprensa livre é impensável, assim como o jornalismo sem liberdade é inconcebível. Do ponto de vista da teoria democrática, julgue os itens seguintes.
Ao jornalismo foi reservado o papel de “quarto poder” em relação aos outros três — Executivo, Legislativo e Judiciário —, o que significa, na prática, auxiliar as pesssoas e as instituições na busca por melhores condições de vida.
Provas
- Conceitos FundamentaisTeorias da Comunicação e Estudos Comunicacionais
- História das ComunicaçõesHistória da Imprensa
Alguns autores advogam que existe uma relação simbólica entre jornalismo e democracia. A democracia sem uma imprensa livre é impensável, assim como o jornalismo sem liberdade é inconcebível. Do ponto de vista da teoria democrática, julgue os itens seguintes.
Herdeiro das tradições revolucionárias francesas, o jornalismo constitui um espaço social estruturado para servir ao sistema dominante.
Provas
Alguns autores advogam que existe uma relação simbólica entre jornalismo e democracia. A democracia sem uma imprensa livre é impensável, assim como o jornalismo sem liberdade é inconcebível. Do ponto de vista da teoria democrática, julgue os itens seguintes.
Em um quadro de divisão de poderes, ao jornalismo coube a responsabilidade de ser o “cão de guarda” do governo, ou seja, de proteger a população contra os abusos dos governantes.
Provas
De acordo com o conceito de sociedade do espetáculo, de Guy Debord, julgue os itens seguintes.
A espetacularização, fenômeno natural das sociedades pós-modernas, é estimulada pelo hábito da curiosidade, que também explica os reality shows.
Provas
De acordo com o conceito de sociedade do espetáculo, de Guy Debord, julgue os itens seguintes.
O recente resgate de mineiros chilenos transformou-se em mercadoria explorada tanto pelas autoridades, quanto pelas empresas envolvidas na perfuração do túnel e, ainda, pela indústria de notícias.
Provas
De acordo com o conceito de sociedade do espetáculo, de Guy Debord, julgue os itens seguintes.
Para a sociedade do espetáculo, vale o que a mídia elege como bom. Sob formas diversas — como o jornalismo, a propaganda e o entretenimento —, o espetáculo nutre-se da cultura das aparências e de mecanismos de identificação.
Provas
Caderno Container