Foram encontradas 1.356 questões.
Atenção: Para responder à próxima questão utilize, dentre as informações dadas a seguir, as que julgar apropriadas.
Se Z tem distribuição normal padrão, então:
P(Z < 0,5) = 0,591; P(Z < 1) = 0,841; P(Z < 1,15) = 0,8951; P(Z < 1,17) = 0,879; P(Z < 1,2) = 0,885; P(Z < 1,4) = 0,919;
P(Z < 1,64) = 0,95; P(Z < 2) = 0,977; P(Z < 2,06) = 0,98; P(Z < 2,4) = 0,997.
Instrução: O enunciado a seguir refere-se às questões de números 49 a 51.
Considere que X é a variável aleatória, que representa as idades, em anos, dos trabalhadores de certa indústria. Suponha que X têm distribuição normal com média de μ anos e desvio padrão de 5 anos.
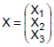
tem distribuição normal multivariada com vetor de médias dado por
e matriz de covariâncias dada por
, onde os valores do vetor μ, são dados em dias e os da matriz Σ em (dias)2.
Um processo é selecionado aleatoriamente dentre todos os processos que chegam àquele órgão. A probabilidade do tempo total para análise se situar entre 42 dias e 45 dias, em %, é igual aProvas
Questão presente nas seguintes provas
- AmostragemTipos de AmostragemAmostragem aleatória simples
- Distribuições de ProbabilidadeDistribuições ContínuasNormal
Atenção: Para responder à próxima questão utilize, dentre as informações dadas a seguir, as que julgar apropriadas.
Se Z tem distribuição normal padrão, então:
P(Z < 0,5) = 0,591; P(Z < 1) = 0,841; P(Z < 1,15) = 0,8951; P(Z < 1,17) = 0,879; P(Z < 1,2) = 0,885; P(Z < 1,4) = 0,919;
P(Z < 1,64) = 0,95; P(Z < 2) = 0,977; P(Z < 2,06) = 0,98; P(Z < 2,4) = 0,997.
Instrução: O enunciado a seguir refere-se às questões de números 49 a 51.
Considere que X é a variável aleatória, que representa as idades, em anos, dos trabalhadores de certa indústria. Suponha que X têm distribuição normal com média de μ anos e desvio padrão de 5 anos.
a média desta amostra. Sabendo-se que a probabilidade de X ser superior a 30 anos é igual a 0,919, o valor de μ, em anos, é igual aProvas
Questão presente nas seguintes provas
- Distribuições de ProbabilidadeDistribuições ContínuasNormal
- Estatística DescritivaMedidas de Tendência Central
Atenção: Para responder à próxima questão utilize, dentre as informações dadas a seguir, as que julgar apropriadas.
Se Z tem distribuição normal padrão, então:
P(Z < 0,5) = 0,591; P(Z < 1) = 0,841; P(Z < 1,15) = 0,8951; P(Z < 1,17) = 0,879; P(Z < 1,2) = 0,885; P(Z < 1,4) = 0,919;
P(Z < 1,64) = 0,95; P(Z < 2) = 0,977; P(Z < 2,06) = 0,98; P(Z < 2,4) = 0,997.
Instrução: O enunciado a seguir refere-se às questões de números 49 a 51.
Considere que X é a variável aleatória, que representa as idades, em anos, dos trabalhadores de certa indústria. Suponha que X têm distribuição normal com média de μ anos e desvio padrão de 5 anos.
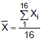
a média desta amostra. Desejando-se que o valor absoluto da diferença entre
e sua média seja menor do que 6 meses, com probabilidade de 95,4%, o valor de n deverá ser igual aProvas
Questão presente nas seguintes provas
Considere a variável aleatória contínua X com função densidade de probabilidade dada por:

Se Mo(X) representa a moda de X, então
é igual a

Se Mo(X) representa a moda de X, então
é igual aProvas
Questão presente nas seguintes provas
A comissão de erradicação do trabalho infantil de um determinado Tribunal Regional do Trabalho analisa, por meio de seu canal de denúncias, casos de desrespeito à legislação que regula o trabalho de menores de 18 anos. Suponha que a variável X, que representa o número de denúncias mensais que são recebidas, tem distribuição de Poisson com média 9. Nessas condições, a probabilidade de serem recebidas 2 ou 3 denúncias em um período de 10 dias é igual a
Dados:
e-1 = 0,37
e-2 = 0,14
e-3 = 0,05
Provas
Questão presente nas seguintes provas
Atenção: Para responder à próxima questão, considere as informações abaixo.
A tabela a seguir apresenta a distribuição de frequências conjunta das variáveis sexo e salário, relativas a um grupo de 200 funcionários de um órgão público. A variável salário está representada por faixas de salário em número de Salários Mínimos − SM.

Provas
Questão presente nas seguintes provas
Atenção: Para responder à próxima questão, considere as informações abaixo.
A tabela a seguir apresenta a distribuição de frequências conjunta das variáveis sexo e salário, relativas a um grupo de 200 funcionários de um órgão público. A variável salário está representada por faixas de salário em número de Salários Mínimos − SM.

Provas
Questão presente nas seguintes provas


Provas
Questão presente nas seguintes provas
Em duas grandes empresas E1 e E2 são selecionados aleatoriamente 50 empregados de E1 e 150 empregados de E2. Foi perguntado a cada um dos empregados se eles eram a favor da substituição dos equipamentos da sua empresa. Supondo que esta pesquisa tenha sido realizada independentemente, o resultado pode ser visualizado pela tabela abaixo.

Com base nos dados desta tabela, deseja-se testar, ao nível de significância de 10%, se a opinião dos empregados depende da empresa em que trabalham. Utilizou-se então o teste qui-quadrado para esta tomada de decisão.
Conclui-se que, ao nível de significância de 10%, a opinião dos empregados

Com base nos dados desta tabela, deseja-se testar, ao nível de significância de 10%, se a opinião dos empregados depende da empresa em que trabalham. Utilizou-se então o teste qui-quadrado para esta tomada de decisão.

Conclui-se que, ao nível de significância de 10%, a opinião dos empregados
Provas
Questão presente nas seguintes provas
De uma população normal e de tamanho infinito com o desvio padrão populacional igual a 4 extrai-se uma amostra aleatória de tamanho 64. Com base nesta amostra, deseja-se saber, ao nível de significância de 5%, se a média μ desta população é inferior a 30. Foram formuladas as hipóteses H0: μ = 30 (hipótese nula) e H1: μ < 30 (hipótese alternativa) com utilização das informações da curva normal padrão (Z) que as probabilidades P(Z > 1,64) = 0,05 e P(Z > 1,28) = 0,10. O menor valor encontrado para a média amostral
tal que H0 não é rejeitada apresenta um valor igual a
tal que H0 não é rejeitada apresenta um valor igual aProvas
Questão presente nas seguintes provas
Cadernos
Caderno Container