Foram encontradas 553 questões.
- Direitos e Garantias FundamentaisDireitos e Deveres Individuais e ColetivosDireito à Igualdade
- Direitos e Garantias FundamentaisDireitos Sociais
- Organização do EstadoAdministração Pública
Assinale a opção correta com referência aos princípios fundamentais e aos direitos e garantias fundamentais consagrados na CF.
Provas
Questão presente nas seguintes provas
- Princípios Fundamentais da ConstituiçãoForma de Estado e Governo, Sistema de Governo e Regime Político
Acerca dos princípios fundamentais da CF e da aplicabilidade das normas constitucionais, assinale a opção correta.
Provas
Questão presente nas seguintes provas
A construção e a transformação das paisagens é um longo
processo cultural que reflete os valores das sociedades que as criam
e que delas usufruem. No Brasil, o paisagismo se constituiu
inicialmente sob influência da colonização portuguesa, com duas
características básicas: a exploração predatória da paisagem e a dos
recursos naturais. Entre o século XIX e o início do século XX,
importaram-se modelos paisagísticos embasados no modelo de
cultura francês, tendo exercido grande influência nesse momento o
paisagista francês Auguste Marie François Glaziou, que implantou
vários jardins e parques públicos na cidade do Rio de Janeiro.
Nesse contexto, surge o trabalho de Roberto Burle Marx, que, como
paisagista, trouxe uma proposta de valorização da cultura nacional.
Lúcia Maria S. A. Costa. Burle Marx e o Paisagismo no Brasil Contemporâneo. In: Revista Municipal de Engenharia. jan.-mar./1949 (com adaptações).
Tendo como referência o texto acima e considerando os múltiplos aspectos a ele relacionados, assinale a opção correta.
Lúcia Maria S. A. Costa. Burle Marx e o Paisagismo no Brasil Contemporâneo. In: Revista Municipal de Engenharia. jan.-mar./1949 (com adaptações).
Tendo como referência o texto acima e considerando os múltiplos aspectos a ele relacionados, assinale a opção correta.
Provas
Questão presente nas seguintes provas
A concepção do projeto arquitetônico de auditórios inicia-se
com o estudo da volumetria e da geometria. O formato do
auditório é considerado um dos itens mais importantes do projeto
e está relacionado à qualidade acústica da sala e à visibilidade do
palco. O volume do auditório deve ser decidido em proporção à
intensidade sonora que será gerada no ambiente.
Carolina Soler et al. Conforto em auditórios: proposta de procedimento para o projeto. Maceió: Encac/Elacac, 2005.
Tendo como referência inicial o texto acima, assinale a opção correta acerca de projetos de auditório.
Carolina Soler et al. Conforto em auditórios: proposta de procedimento para o projeto. Maceió: Encac/Elacac, 2005.
Tendo como referência inicial o texto acima, assinale a opção correta acerca de projetos de auditório.
Provas
Questão presente nas seguintes provas

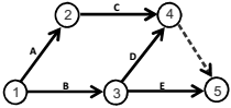
A figura acima representa uma rede PERT-CPM de um projeto, no qual as atividades A, B, C e D possuem a mesma duração de cinco dias, e a atividade E tem uma duração de quatro dias. O cronograma foi elaborado considerando-se que as atividades devem começar o mais cedo possível. Com base nessas informações, assinale a opção correta.
Provas
Questão presente nas seguintes provas

Com base nas figuras acima, assinale a opção correta.
Provas
Questão presente nas seguintes provas

Na figura acima, é apresentado detalhe de uma calha para águas pluviais, com as especificações numeradas de I a VI. De acordo com a figura, assinale a opção que estabelece a correta relação entre o algarismo romano e a descrição da estrutura.
Provas
Questão presente nas seguintes provas
- Desenho Técnico
- Expressão e Representação
- Instalações PrediaisInstalações Elétricas
- Instalações PrediaisInstalações Hidrossanitárias

Figura I - instalação elétrica de um apartamento
Figura II - ligações de esgoto com ralo sifonado
Com base nas figuras I e II acima, assinale a opção correta a respeito das instalações elétricas e hidrossanitárias.
Provas
Questão presente nas seguintes provas

Assinale a opção que corresponde à projeção referente à visada indicada na peça acima.
Provas
Questão presente nas seguintes provas

Assinale a opção em que é apresentada a planta baixa do croqui proposto acima.
Provas
Questão presente nas seguintes provas
Cadernos
Caderno Container