Magna Concursos

Foram encontradas 576 questões.

572988 Ano: 2016
Disciplina: Gerência de Projetos
Banca: CESPE / CEBRASPE
Orgão: TRT-8
Provas:
De acordo com o PMBOK, a análise de impactos e probabilidade de ocorrência de eventos incertos é requisito para a elaboração de
 

Provas

Questão presente nas seguintes provas
572987 Ano: 2016
Disciplina: Gerência de Projetos
Banca: CESPE / CEBRASPE
Orgão: TRT-8
Provas:

Um consultor foi contratado por certa instituição financeira para controlar um projeto para os próximos doze meses. Enquanto realizava o planejamento do escopo do projeto, ele descobriu que diversos requisitos legais não haviam sido considerados nos casos de negócio. Na avaliação do consultor, não considerar tais requisitos exporia a instituição a ações legais. Entretanto, o investimento em tecnologia para atendê-los levaria o projeto a exceder o orçamento e o escopo, o que poderia resultar no cancelamento do projeto.

Considerando a situação hipotética apresentada, assinale a opção em que é apresentada a melhor decisão a ser tomada pelo referido consultor.

 

Provas

Questão presente nas seguintes provas
572986 Ano: 2016
Disciplina: Gerência de Projetos
Banca: CESPE / CEBRASPE
Orgão: TRT-8
Provas:
Acerca da gestão do escopo do projeto, assinale a opção correta, de acordo com o PMBOK.
 

Provas

Questão presente nas seguintes provas
572985 Ano: 2016
Disciplina: Gerência de Projetos
Banca: CESPE / CEBRASPE
Orgão: TRT-8
Provas:
Abordagens qualitativas embasadas em equipes auxiliam na melhoria da estimativa e na obtenção de maior comprometimento da equipe nas estimativas emergentes. De acordo com o PMBOK, são exemplos de abordagem qualitativa
 

Provas

Questão presente nas seguintes provas
572984 Ano: 2016
Disciplina: Gerência de Projetos
Banca: CESPE / CEBRASPE
Orgão: TRT-8
Em relação aos conceitos e conteúdos referentes à gestão por processos e à gestão por projetos, assinale a opção correta.
 

Provas

Questão presente nas seguintes provas
572983 Ano: 2016
Disciplina: Gerência de Projetos
Banca: CESPE / CEBRASPE
Orgão: TRT-8

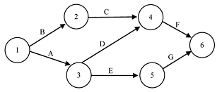
enunciado 572983-1

Considerando-se que a figura ilustra uma rede PERT/CPM, cujas atividades, representadas por letras, possuem durações iguais; e considerando-se ainda que a última data de término do projeto é igual à primeira data de término, é correto afirmar que esse projeto

 

Provas

Questão presente nas seguintes provas
572982 Ano: 2016
Disciplina: Gerência de Projetos
Banca: CESPE / CEBRASPE
Orgão: TRT-8
A ferramenta informatizada MS-Project permite o planejamento e o acompanhamento de projetos de uma forma rápida e eficiente, sendo uma de suas características
 

Provas

Questão presente nas seguintes provas
572981 Ano: 2016
Disciplina: Gerência de Projetos
Banca: CESPE / CEBRASPE
Orgão: TRT-8
Provas:
No grupo de planejamento e na área de conhecimento do gerenciamento de escopo do projeto do PMBOK (project management body of knowledge), o processo que determina, documenta e gerencia as necessidades e os requisitos das partes interessadas, a fim de atender aos objetivos do projeto, é o processo
 

Provas

Questão presente nas seguintes provas
572980 Ano: 2016
Disciplina: Engenharia Civil
Banca: CESPE / CEBRASPE
Orgão: TRT-8
A respeito do aproveitamento múltiplo dos recursos hídricos, assinale a opção correta.
 

Provas

Questão presente nas seguintes provas
572979 Ano: 2016
Disciplina: Engenharia Civil
Banca: CESPE / CEBRASPE
Orgão: TRT-8
Acerca do abastecimento, da reservação e da distribuição de águas, assinale a opção correta.
 

Provas

Questão presente nas seguintes provas