Foram encontradas 480 questões.
Em um pequeno grupo de casais, X e Y são as variáveis aleatórias que representam a renda, em milhares de reais, do marido e de sua esposa, respectivamente. A distribuição de probabilidade conjunta de X e Y é dada na tabela abaixo:

Seja Z = 0,7X + 0,8Y a renda do casal após a dedução de impostos. A média de Z, em milhares de reais, é

Seja Z = 0,7X + 0,8Y a renda do casal após a dedução de impostos. A média de Z, em milhares de reais, é
Provas
Questão presente nas seguintes provas
- Estatística InferencialFunções Densidade de Probabilidade
- Estatística InferencialVariáveis AleatóriasVariável Aleatória Contínua
- Probabilidades
A variável aleatória contínua X tem função densidade de probabilidade dada por:

A variância de X é igual a

A variância de X é igual a
Provas
Questão presente nas seguintes provas
A demanda diária por um produto e uma variável aleatória X , contínua, com função densidade de probabilidade dada por

A média e a mediana de X são dadas, respectivamente, por

A média e a mediana de X são dadas, respectivamente, por
Provas
Questão presente nas seguintes provas
Em um determinado ramo de atividade, com um grande número de empresas, são extraídas 3 amostras aleatórias com 10 empresas cada uma. Cada amostra caracterizou um grupo, ou seja, Grupo 1, Grupo 2 e Grupo 3. Deseja-se saber se as respectivas médias dos faturamentos dos 3 grupos, em milhões de reais, são iguais, considerando o nível de significância de 5%. As informações abaixo foram obtidas do quadro de análise de variância.

Seja
(F calculado) o valor da estatística para comparação com o F tabelado (variável F de Snedecor) para concluir se as médias dos faturamentos dos grupos são iguais, considerando o nível de significância de 5%. Obtém-se que

Seja
(F calculado) o valor da estatística para comparação com o F tabelado (variável F de Snedecor) para concluir se as médias dos faturamentos dos grupos são iguais, considerando o nível de significância de 5%. Obtém-se queProvas
Questão presente nas seguintes provas
O objetivo de um estudo realizado em duas cidades X e Y foi apurar, com relação a um determinado assunto, o nível de atendimento oferecido aos seus habitantes. Cada cidade possui um posto de atendimento e cada posto atende somente aos habitantes de sua cidade. Em cada cidade foram sorteados aleatoriamente 12 habitantes atendidos pelo respectivo posto. O resultado pode ser visualizado pela tabela abaixo.

Utilizou-se o teste qui-quadrado para avaliar se existe diferença no nível de atendimento dos postos das duas cidades. O valor observado do qui-quadrado e o número correspondente dos graus de liberdade do teste são, respectivamente, iguais a

Utilizou-se o teste qui-quadrado para avaliar se existe diferença no nível de atendimento dos postos das duas cidades. O valor observado do qui-quadrado e o número correspondente dos graus de liberdade do teste são, respectivamente, iguais a
Provas
Questão presente nas seguintes provas
Uma amostra aleatória com 16 elementos é extraída de uma população normal de tamanho infinito com média ? e desvio padrão desconhecido. O valor da média amostral e o valor da variância amostral foram iguais a M e 625, respectivamente. Deseja-se testar a hipótese
: ? = 90 (hipótese nula) contra
: ? > 90 (hipótese alternativa) com base nos resultados apresentados pela amostra, ao nível de significância de 5%. Utilizou-se para o teste a distribuição t de Student, considerando
o quantil da distribuição t de Student para o teste unicaudal tal que P (t >
) = 5%.

Sabendo-se que
não foi rejeitada, então o valor de M foi, no máximo,
: ? = 90 (hipótese nula) contra
: ? > 90 (hipótese alternativa) com base nos resultados apresentados pela amostra, ao nível de significância de 5%. Utilizou-se para o teste a distribuição t de Student, considerando
o quantil da distribuição t de Student para o teste unicaudal tal que P (t >
) = 5%.
Sabendo-se que
não foi rejeitada, então o valor de M foi, no máximo,Provas
Questão presente nas seguintes provas
- Estatística InferencialEstimadoresEstimadores de Máxima Verossimilhança
- Estatística InferencialFunções Densidade de Probabilidade
- Probabilidades
Considere uma amostra de 8 elementos proveniente de uma população com função densidade f(x) =
Com base nesta amostra, apurou-se que o estimador de máxima verossimilhança da variância da população foi igual a 3. O maior valor apresentado nesta amostra foi
Com base nesta amostra, apurou-se que o estimador de máxima verossimilhança da variância da população foi igual a 3. O maior valor apresentado nesta amostra foiProvas
Questão presente nas seguintes provas
Uma amostra aleatória simples (
) provém de uma população normalmente distribuída com média ? e variância unitária. Entre os estimadores de ? (Y) da classe Y = (m + 1)
+ (m ? 2)
+ 2(1 ? m)
, sendo m um parâmetro real, o mais eficiente será no caso em que m for igual a
) provém de uma população normalmente distribuída com média ? e variância unitária. Entre os estimadores de ? (Y) da classe Y = (m + 1)
+ (m ? 2)
+ 2(1 ? m)
, sendo m um parâmetro real, o mais eficiente será no caso em que m for igual aProvas
Questão presente nas seguintes provas
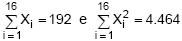
Uma população com 16 valores estritamente positivos
, correspondente a um determinado atributo, apresenta as seguintes informações:

O elemento
, tal que
= 12 , é retirado da população. Os valores da variância da primeira população e da nova população formada são, respectivamente, iguais a
, correspondente a um determinado atributo, apresenta as seguintes informações:
O elemento
, tal que
= 12 , é retirado da população. Os valores da variância da primeira população e da nova população formada são, respectivamente, iguais aProvas
Questão presente nas seguintes provas
Para comparar os lucros de dois grupos de empresas, I e II, foram preparados desenhos esquemáticos com os valores observados dos lucros, em milhões de reais, representados abaixo.

Analisando estes diagramas, observa-se que

Analisando estes diagramas, observa-se que
Provas
Questão presente nas seguintes provas
Cadernos
Caderno Container