Foram encontradas 480 questões.
Os salários de todos os 170 empregados de uma empresa apresentam uma distribuição normal com um desvio padrão igual a R$ 364,00. Uma pesquisa com 49 empregados, selecionados ao acaso, detectou uma média de R$ 1.560,00 para os salários desta amostra. Com base no resultado desta amostra e considerando que, na distribuição normal padrão (Z), a probabilidade P(Z > 2,05) = 2%, obtém-se que o intervalo de confiança de 96% para a média dos salários da empresa, em R$, é igual a
Provas
Questão presente nas seguintes provas
Quanto a (algumas) técnicas de Análise Multivariada, é INCORRETO afirmar:
Provas
Questão presente nas seguintes provas
Com relação à teoria geral de amostragem, considere:
I. A realização de amostragem aleatória simples só é possível se o pesquisador possuir uma lista completa, descrevendo cada unidade amostral.
II. A amostragem estratificada consiste na divisão de uma população em grupos segundo alguma característica conhecida. Os estratos da população devem ser mutuamente exclusivos.
III. Em uma amostra por conglomerados, a população é dividida em sub-populações distintas.
IV. Na amostragem em dois estágios, a população é dividida em dois grupos: um será o grupo controle e o outro será o experimental.
É correto o que consta APENAS em
I. A realização de amostragem aleatória simples só é possível se o pesquisador possuir uma lista completa, descrevendo cada unidade amostral.
II. A amostragem estratificada consiste na divisão de uma população em grupos segundo alguma característica conhecida. Os estratos da população devem ser mutuamente exclusivos.
III. Em uma amostra por conglomerados, a população é dividida em sub-populações distintas.
IV. Na amostragem em dois estágios, a população é dividida em dois grupos: um será o grupo controle e o outro será o experimental.
É correto o que consta APENAS em
Provas
Questão presente nas seguintes provas
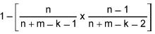
A inspeção para o controle de qualidade de uma firma examinou os itens de um lote que tem n peças boas e m peças defeituosas (n é muito maior do que m). Uma verificação dos primeiros k(k < m ? 1) itens mostrou que todos eram defeituosos. A probabilidade de que, entre os dois próximos itens selecionados ao acaso, dos restantes, pelo menos um seja defeituoso é:
Provas
Questão presente nas seguintes provas
Em um lote de 8 peças há duas defeituosas e 6 boas. Escolhendo-se ao acaso e sem reposição 3 peças do lote, a probabilidade de se encontrar no máximo uma defeituosa é
Provas
Questão presente nas seguintes provas
A caixa X tem 5 bolas numeradas de 1 a 5 e a caixa Y tem 7 bolas numeradas de 1 a 7. Uma caixa é selecionada ao acaso e desta seleciona-se aleatoriamente uma bola. Se a bola selecionada apresenta um número ímpar, a probabilidade de que ela tenha vindo da caixa Y é
Provas
Questão presente nas seguintes provas
Seja
a média de uma amostra aleatória simples com reposição, de tamanho n, retirada de uma população normal com média 100 e variância 100. Fazendo uso da informação que P(Z ? 1,64) = 0,95, onde Z é a normal padrão, o valor de n para que
= 0,10 é um inteiro pertencente ao intervalo
a média de uma amostra aleatória simples com reposição, de tamanho n, retirada de uma população normal com média 100 e variância 100. Fazendo uso da informação que P(Z ? 1,64) = 0,95, onde Z é a normal padrão, o valor de n para que
= 0,10 é um inteiro pertencente ao intervaloProvas
Questão presente nas seguintes provas
Sejam
, ...Yn, duas amostras aleatórias independentes, extraídas, cada uma delas com reposição, de duas distribuições uniformes contínuas com parâmetros [
] e [
], respectivamente. Nestas condições, a média e a variância da variável aleatória
, onde
são as respectivas médias amostrais das duas amostras citadas, são dadas respectivamente por:
, ...Yn, duas amostras aleatórias independentes, extraídas, cada uma delas com reposição, de duas distribuições uniformes contínuas com parâmetros [
] e [
], respectivamente. Nestas condições, a média e a variância da variável aleatória
, onde
são as respectivas médias amostrais das duas amostras citadas, são dadas respectivamente por:Provas
Questão presente nas seguintes provas
Considerando que, dentre todos os modelos abaixo,
é o ruído branco de média zero e variância ?2, aquele que seria um processo gerador de um modelo estacionário é
é o ruído branco de média zero e variância ?2, aquele que seria um processo gerador de um modelo estacionário éProvas
Questão presente nas seguintes provas
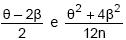
Para o modelo ARMA (1,1) dado por

onde
é o ruído branco de média zero e variância ?2, considere as seguintes afirmações:
I. as condições de estacionariedade e invertibilidade do modelo são dadas respectivamente por:
II. para qualquer valor do parâmetro
o modelo é invertível.
III. as condições de estacionariedade e invertibilidade do modelo são dadas respectivamente por:
IV. a função de autocorrelação de
decai exponencialmente após o lag 1.
É correto o que consta APENAS em

onde
é o ruído branco de média zero e variância ?2, considere as seguintes afirmações:I. as condições de estacionariedade e invertibilidade do modelo são dadas respectivamente por:

II. para qualquer valor do parâmetro
o modelo é invertível. III. as condições de estacionariedade e invertibilidade do modelo são dadas respectivamente por:
IV. a função de autocorrelação de
decai exponencialmente após o lag 1. É correto o que consta APENAS em
Provas
Questão presente nas seguintes provas
Cadernos
Caderno Container