Foram encontradas 50 questões.
- Organização dos PoderesPoder JudiciárioDisposições Gerais
- Organização dos PoderesPoder JudiciárioSTF: Supremo Tribunal Federal
- Organização dos PoderesPoder JudiciárioSTJ: Superior Tribunal de Justiça
Conforme a Constituição Federal, assinale a alternativa correta.
Provas
Questão presente nas seguintes provas
- Teoria Geral da ConstituiçãoPoder Constituinte
- Organização dos PoderesPoder LegislativoProcesso LegislativoDeliberação ParlamentarDeliberação Executiva
- Organização dos PoderesPoder LegislativoProcesso LegislativoProcesso Legislativo OrdinárioFase Introdutória
Acerca do processo legislativo, assinale a alternativa correta.
Provas
Questão presente nas seguintes provas
- Organização dos PoderesFunções Essenciais à JustiçaMinistério Público
- Organização dos PoderesFunções Essenciais à JustiçaAdvocacia pública (artigos 131 e 132 da CF)
- Organização dos PoderesFunções Essenciais à JustiçaDefensoria Pública (artigos 134 e 135 da CF)
Sobre as funções essenciais à Justiça, é correto afirmar:
Provas
Questão presente nas seguintes provas
A retomada do serviço público pelo poder concedente durante o prazo da concessão, por motivo de interesse público, mediante lei autorizativa específica e após o prévio pagamento da indenização, denomina-se:
Provas
Questão presente nas seguintes provas
De acordo com a Lei de Licitações, assinale a alternativa incorreta.
Provas
Questão presente nas seguintes provas
Preencha as lacunas do texto abaixo.
“A remuneração do servidor que executar atividade noturna, assim considerado o trabalho prestado entre _______ horas e ______ horas do dia seguinte, será acrescida de __________ ”.
Assianel a alternativa que completa correta e sequencialmente as lacunas do texto.
“A remuneração do servidor que executar atividade noturna, assim considerado o trabalho prestado entre _______ horas e ______ horas do dia seguinte, será acrescida de __________ ”.
Assianel a alternativa que completa correta e sequencialmente as lacunas do texto.
Provas
Questão presente nas seguintes provas
De acordo com a Lei nº 6.745, de 28 de dezembro de 1985, que dispõe sobre o Estatuto dos Servidores Públicos Civis do Estado de Santa Catarina, é correto afirmar:
Provas
Questão presente nas seguintes provas
Considerando o disposto no Estatuto dos Servidores Públicos Civis do Estado de Santa Catarina, é correto afirmar:
Provas
Questão presente nas seguintes provas
Encontre o valor de a para que o sistema linear

Não tenha solução:

Não tenha solução:
Provas
Questão presente nas seguintes provas
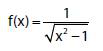
Considere a função
, definida por

Assinale a alternativa que indica corretamente o domínio dessa função.
, definida por
Assinale a alternativa que indica corretamente o domínio dessa função.
Provas
Questão presente nas seguintes provas
Cadernos
Caderno Container