Foram encontradas 272 questões.
Um dos processos de emissão de CO2 ocorre através do uso de carvão nas usinas elétricas. Uma das formas de reduzir essa emissão é usar o gás natural, que polui quase 50% menos. Infelizmente o consumo de carvão continua crescendo, e deve subir 38% até 2017. Sobre o carvão e o gás natural, pode-se afirmar corretamente que
Provas
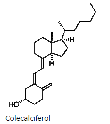
A vitamina D é muitas vezes conhecida como a vitamina do sol, contudo, somente a vitamina D3 (colecalciferol) é produzida por meio da síntese natural da luz solar sobre a pele. A vitamina D3 é considerada a forma mais benéfica ao corpo, pois regula o nível de cálcio e fósforo no sangue, o que é vital para o desenvolvimento e o crescimento dos ossos. Ela reduz o risco de câncer de próstata, câncer de mama e câncer de cólon.

Com relação à estrutura da vitamina D3, assinale a afirmação correta.
Provas
Um raio é um fenômeno atmosférico caracterizado pela passagem de corrente elétrica, por exemplo, entre uma nuvem e o solo. Considere um raio que transfira 2·103 A para o solo. Nessa situação, a corrente elétrica nesse circuito nuvem solo é de
Provas
A Agência Nacional de Energia Elétrica ANEEL – aprovou em janeiro as novas tarifas que reduzirão a conta de energia elétrica. Para os consumidores residenciais no Ceará, a redução é de 18,05%. Na conta de luz, essa redução afeta o preço do
Provas
Uma bola de futebol de 450 g em queda vertical sofre ação da gravidade e da resistência do ar. Em um dado instante, sua aceleração é de 2 m/s2, em módulo. Considerando que a aceleração da gravidade tenha módulo 10 m/s2, a força de resistência do ar atuando na bola nesse instante, em Newtons, é
Provas
Um recipiente cilíndrico vertical cheio de água sofre um acréscimo de pressão !$ \Delta P !$ através de um êmbolo na sua parte superior. Assim, o acréscimo de pressão em um ponto de sua
Provas
Um sistema massa-mola oscila de tal modo que a velocidade v(t) da massa é dada por v(t)/vm = cos(!$ \omega !$t), onde m é a velocidade média em um intervalo de 1/4 de período de oscilação. Pode-se afirmar corretamente que a constante
Provas
A energia cinética c de uma pedra de massa em queda livre pode ser dada tanto em termos de sua velocidade quanto em termos de seu momento linear . A forma mais usual é Ec =mv2/2. Em termos do momento linear, c pode ser escrita como
Provas
Política de privatização, redução de impostos e regulamentação mercantil da economia são algumas das características do Estado
Provas
O Presidente venezuelano Hugo Chávez, que estava no poder desde 1999, mesmo tendo adotado medidas discutíveis e duramente criticadas internacionalmente, conseguiu estabelecer-se como um dos líderes da América Latina. Com sua morte, o cenário político nesta parte do mundo já demonstra sinais de mudança através
Provas
Caderno Container