Foram encontradas 180 questões.
Atente à seguinte situação hipotética:
Um indivíduo possui a seguinte função utilidade: U (x1 , x2 ) = x1 x2 e restrição orçamentária: x1 +2x2 = 10.
A alternativa que expressa as quantidades dos bens x1 e x2 que maximizam a utilidade desse consumidor é
Provas
Na sequência, são expostas algumas proposições sobre a Teoria Keynesiana. Analise-as de modo a julgá-las como Verdadeiras (V) ou Falsas (F)
( ) Adecisão de investimento se baseia na chamada Eficiência Marginal do Capital, que consiste na taxa de desconto que iguala o fluxo de receitas que se espera obter ao custo do investimento.
( ) Apropensão marginal a consumir é o elemento de maior estabilidade na demanda pelo fato desta não depender de variações na renda.
( ) Os trabalhadores barganhavam salários reais e não nominal, conforme preconizavam os pressupostos clássicos.
( ) O nível de emprego é determinado no ponto de interseção entre oferta agregada e demanda agregada, onde se estabelece o nível de produção e a demanda efetiva do trabalho.
A sequência CORRETA é
Provas
Provas
No que diz respeito às funções do Estado, aos objetivos da política fiscal e do déficit público, julgue as afirmativas abaixo relacionadas e, em seguida, responda ao que se pede.
I- Necessidade de financiamento do setor público (NFSP) ou Resultado Nominal consiste na diferença entre as receitas totais agregadas, incluindo aplicações financeiras e as despesas totais, nas quais também se incluem pagamento de juros, em um dado período de tempo.
II- O método de consolidação dos resultados fiscais do setor público “acima da linha” corresponde à variação da dívida líquida total, interna ou externa.
III- No que diz respeito ao papel do Estado na atividade econômica, o setor público deve cumprir, fundamentalmente, as três seguintes funções: distributiva, fiscalizadora e estabilizadora.
IV- O déficit operacional consiste na diferença entre gastos públicos e arrecadação tributária no exercício, excluindo juros e correções da dívida passada.
Está CORRETO o que se afirma apenas em
Provas
- MicroeconomiaEstruturas de Mercado
- MicroeconomiaOferta e Demanda
- MicroeconomiaTeoria da Firma/ProdutorTeoria da produção
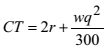
A função de Custo Total (CT) dos produtores de feijão de uma dada localidade é a seguinte:

Onde: (CT) o Custo Total;
( r ) a remuneração do capital;
(w) a remuneração do trabalho
(q) o nível de produção.
A função de Demanda do mercado de feijão é:
Qd = 7.000 - 4.000P
P é o preço de mercado. Considerando que este seja um mercado de concorrência perfeita e que existam 100 firmas atuando na venda do feijão ao mesmo nível de preços e com um valor da remuneração do trabalho de 5 unidades monetárias por jornada.
Apartir das informações apresentadas acima, o preço e a quantidade que equilibram esse mercado são, respectivamente,Provas
Observe os seguintes lançamentos no Balanço de Pagamentos de um determinado país em um dado ano (Em milhões de unidades monetárias):

Com base nos dados apresentados acima, o Saldo em Transações Correntes desse país é de
Provas
- Administração de Estoques
- Classificação de MateriaisTipos de Classificação de MateriaisClassificação ABC: Valor do Consumo
Provas
Provas
Provas
O trabalho no interior de um armazém requer bastante agilidade e flexibilidade dos envolvidos. Assim, é possível responder com eficiência a uma demanda que, caso não seja bem administrada, pode levar o armazém a ficar rapidamente desorganizado. Assinale a alternativa que revela a exata correspondência entre a nomenclatura e os aspectos referentes à armazenagem que afetam produtividade e custos, respectivamente.
I- Precisa levar em conta tempo e métodos para cada um dos principais produtos, e esses produtos devem estar localizados mais próximos à expedição.
II- Apesar do uso de sistemas integrados sofisticados e caros em muitas organizações, como o ERP (Enterprise Resource Planning), ainda são comuns as divergências de estoque, isto é, falta ou sobra produtos dentro do armazém.
III- O uso de coletores de código de barras sem um sistema eficiente de gestão é insuficiente para garantir a precisão do estoque.
Provas
Caderno Container